当前位置:
首页 »
资料 »
药物合成路线 » Fenticonazole nitrate, Rec-151476B free base, Rec-151476, Lo
Fenticonazole nitrate, Rec-151476B free base, Rec-151476, Lo

更新日期:2018-11-23 浏览次数:
421
摘 要:Fenticonazole nitrate, Rec-151476B free base, Rec-151476, Lomexin,73151-29-8, 72479-26-6 (free base),C24-H20-Cl2-N2-O-S.H-N-O3,(?-1-[2-(2,4-Dichlorophenyl)-2-[[4-(phenylthio)phenyl]methoxy]ethyl]-1H-imidazole mononitrate
- 【药物名称】Fenticonazole nitrate, Rec-151476B free base, Rec-151476, Lomexin
- 【化学名】(?-1-[2-(2,4-Dichlorophenyl)-2-[[4-(phenylthio)phenyl]methoxy]ethyl]-1H-imidazole mononitrate
- 【CAS登记号】73151-29-8, 72479-26-6 (free base)
- 【结构式】

- 【分子式】C24-H20-Cl2-N2-O-S.H-N-O3
- 【分子量】518.4189
- 【原研厂家】Recordati (Originator), SK Pharma (Not Determined), Effik (Licensee), Gerot (Licensee), Pfizer (Licensee)
- 【作用类别】Antifungal Agents, ANTIINFECTIVE THERAPY
- 【研发状态】Launched-1986
- 【合成情况】
- 〖来源〗Drugs Fut
- 〖合成路线〗

- 〖标题〗Fenticonazole Nitrate
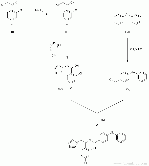
- 〖合成方法〗The reduction of 2,4-dichlorophenacyl chloride with NaBH4 gives 1-(2,4-dichlorophenyl)-2-chloroethanol (II), which is condensed with imidazole (III) to yield 1-(2,4-dichlorophenyl)-2-(N-imidazolyl)ethanol (IV). Finally, this compound is condensed with 4-(phenylthio)benzyl chloride (V) [prepared by chloromethylation of diphenyl sulfide (VI) with formaldehyde and HCl] using NaH as condensing agent.
- 〖作者〗Blancafort, P.; Castaer, J.; Serradell, M.N.
- 〖参考〗Blancafort, P.; Castaer, J.; Serradell, M.N.; Fenticonazole Nitrate. Drugs Fut 1983, 8, 9, 767
- 〖出处〗Drugs Fut1983,8,(9):767
- 〖备注〗Synthesis of Fenticonazole Nitrate (EN:90400):
The reduction of 2,4-dichlorophenacyl chloride with NaBH4 gives 1-(2,4-dichlorophenyl)-2-chloroethanol (II), which is condensed with imidazole (III) to yield 1-(2,4-dichlorophenyl)-2-(N-imidazolyl)ethanol (IV). Finally this compound is condensed with 4-(phenylthio)benzyl chloride (V) [prepared by chloromethylation of diphenyl sulfide (VI) with formaldehyde and HCl] using NaH as condensing agent (1,2). (Scheme 09040001a)
Description
m.p. 136?(2).
Manufacturer
Recordati SpA, Milan (Italy).
References
1. Nardi, D., Massarani, E., Tajana, A. and Veronese, M. (Recordati SpA); DE 2917244, FR 2426047, GB 2025395, JP 79151974, US 4221803.
2. Tajana, A., Sibilia, C., Cappelleti, R., Cova, A., and Nardi, D.; Physico-chemical, structural and analytical studies on fenticonazole, a new drug with antimycotic properties; Arzneim-Forsch 1982, 31(12), 2127.
- 〖来源〗Arzneim-Forsch Drug Res
- 〖合成路线〗

- 〖标题〗Physico-chemical, structural and analytical studies on fenticonazole, a new drug with antimycotic properties
- 〖合成方法〗The reduction of 2,4-dichlorophenacyl chloride with NaBH4 gives 1-(2,4-dichlorophenyl)-2-chloroethanol (II), which is condensed with imidazole (III) to yield 1-(2,4-dichlorophenyl)-2-(N-imidazolyl)ethanol (IV). Finally, this compound is condensed with 4-(phenylthio)benzyl chloride (V) [prepared by chloromethylation of diphenyl sulfide (VI) with formaldehyde and HCl] using NaH as condensing agent.
- 〖作者〗Cova, A.; Tajana, A.; Nardi, D.; Cappelleti, R.; Sibilia, C.
- 〖参考〗Cova, A.; Tajana, A.; Nardi, D.; Cappelleti, R.; Sibilia, C.; Physico-chemical, structural and analytical studies on fenticonazole, a new drug with antimycotic properties. Arzneim-Forsch Drug Res 1981, 31, 12, 2127
- 〖出处〗Arzneim-Forsch Drug Res1981,31,(12):2127
- 〖备注〗
- 〖来源〗DE 2917244; FR 2426047; GB 2025395; US 4221803
- 〖合成路线〗

- 〖标题〗Substituted dibenzyl ethers and parmaceutical compositions containing said ethers for the treatment of infections
- 〖合成方法〗The reduction of 2,4-dichlorophenacyl chloride with NaBH4 gives 1-(2,4-dichlorophenyl)-2-chloroethanol (II), which is condensed with imidazole (III) to yield 1-(2,4-dichlorophenyl)-2-(N-imidazolyl)ethanol (IV). Finally, this compound is condensed with 4-(phenylthio)benzyl chloride (V) [prepared by chloromethylation of diphenyl sulfide (VI) with formaldehyde and HCl] using NaH as condensing agent.
- 〖作者〗Nardi, D.; Massarani, E.; Tajana, A.; Veronese, M. (Recordati Industria Chimica e Farmaceutica SpA)
- 〖参考〗Nardi, D.; Massarani, E.; Tajana, A.; Veronese, M. (Recordati Industria Chimica e Farmaceutica SpA); Substituted dibenzyl ethers and parmaceutical compositions containing said ethers for the treatment of infections. DE 2917244; FR 2426047; GB 2025395; US 55273-05
- 〖出处〗DE 2917244; FR 2426047; GB 2025395; US 4221803,,():
- 〖备注〗
本文导航:
-
(1)
Fenticonazole nitrate, Rec-151476B free base, Rec-151476, Lo