当前位置:
首页 »
资料 »
药物合成路线 » Guanfacine hydrochloride, SPD-503, BS-100-141, Estulic, Tene
Guanfacine hydrochloride, SPD-503, BS-100-141, Estulic, Tene

更新日期:2018-11-23 浏览次数:
279
摘 要:Guanfacine hydrochloride, SPD-503, BS-100-141, Estulic, Tenex,29110-48-3, 29110-47-2 (free base),C9-H9-Cl2-N3-O.Cl-H,N-Amidino-2,6-dichlorobenzeneacetamide monohydrochloride
- 【药物名称】Guanfacine hydrochloride, SPD-503, BS-100-141, Estulic, Tenex
- 【化学名】N-Amidino-2,6-dichlorobenzeneacetamide monohydrochloride
- 【CAS登记号】29110-48-3, 29110-47-2 (free base)
- 【结构式】

- 【分子式】C9-H9-Cl2-N3-O.Cl-H
- 【分子量】282.557
- 【原研厂家】Novartis (Originator), Wyeth Consumer Healthcare (Originator), Egis (Licensee), Shire Pharmaceuticals (Formulation)
- 【作用类别】Attention Deficit Hyperactivity Disorder (ADHD), Treatment of, CARDIOVASCULAR DRUGS, Hypertension, Treatment of, PSYCHOPHARMACOLOGIC DRUGS, alpha2-Adrenoceptor Agonists
- 【研发状态】Launched-1979
- 【合成情况】
- 〖来源〗Arzneim-Forsch Drug Res
- 〖合成路线〗

- 〖标题〗Substituted phenylacetylguanidines: A new class of antihypertensive agents
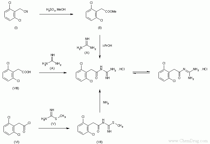
- 〖合成方法〗1) By methanolysis of 2,6-dichlorophenylacetonitrile (I) by means of H2SO4 to methyl 2,6-dichlorophenylacetate (II), which is then condensed with guanidine (A) in isopropanol.
2) By condensation of S-methylisothiourea (V) with 2,6-dichlorophenylacetyl chloride (VI) in acetone to afford S-methyl-N-(2,6-dichlorophenylacetyl)isothiourea (VII); this product is then treated with ammonia in isopropanol.
3) By condensation of 2,6-dichlorophenylacetic acid (VIII) with guanidine (A) in toluene.
- 〖作者〗Bream, J.B.; et al.
- 〖参考〗Bream, J.B.; et al.; Substituted phenylacetylguanidines: A new class of antihypertensive agents. Arzneim-Forsch Drug Res 1975, 25, 10, 1477
- 〖出处〗Arzneim-Forsch Drug Res1975,25,(10):1477
- 〖备注〗
- 〖来源〗Drugs Fut
- 〖合成路线〗

- 〖标题〗BS 100-141
- 〖合成方法〗1) By methanolysis of 2,6-dichlorophenylacetonitrile (I) by means of H2SO4 to methyl 2,6-dichlorophenylacetate (II), which is then condensed with guanidine (A) in isopropanol.
2) By condensation of S-methylisothiourea (V) with 2,6-dichlorophenylacetyl chloride (VI) in acetone to afford S-methyl-N-(2,6-dichlorophenylacetyl)isothiourea (VII); this product is then treated with ammonia in isopropanol.
3) By condensation of 2,6-dichlorophenylacetic acid (VIII) with guanidine (A) in toluene.
- 〖作者〗Arrigoni-Martelli, E.; Castaer, J.
- 〖参考〗Arrigoni-Martelli, E.; Castaer, J.; BS 100-141. Drugs Fut 1976, 1, 4, 167
- 〖出处〗Drugs Fut1976,1,(4):167
- 〖备注〗Synthesis
It can be prepared in several different ways:
1) By methanolysis of 2,6-dichlorophenylacetonitrile (I) by means of H2SO4 to methyl 2,6-dichlorophenylacetate (II), which is then condensed with guanidine (A) in isopropanol (1,2) (Scheme 09151001a).
2) By condensation of S-methylisothiourea (V) with 2,6-dichlorophenylacetyl chloride (VI) in acetone to afford S-methyl-N-(2,6-dichlorophenylacetyl)isothiourea (VII); this product is then treated with ammonia in isopropanol (2) (Scheme 09151001a).
3) By condensation of 2,6-dichlorophenylacetic acid (VIII) with guanidine (A) in toluene (2) (Scheme 09151001a).
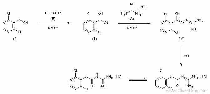
4) By reaction of the nitrile (I) with ethyl formate (B) by means of NaOEt in ethanol to give alpha-formyl-2,6-dichlorophenylacetonitrile (III), which is condensed with guanidine hydrochloride (A) by means of NaOEt in ethanol to yield alpha-(guanidinomethylene)-2,6-dichlorophenylacetonitrile (IV); this product is finally hydrolyzed and rearranged by means of HCl (3,4) (Scheme 09151002a).
Description
Needles, m.p. 215-7 C. Free base, m.p. 225-7 C.
Manufacturer
Sandoz (Switzerland)
References
1. Bream, J.B. et al.; Arzneim-Forsch 1975, 25, 1477
2. Bream, J.B. et al.; FR 1584670
3. Bream, J.B. et al.; CH 518910
4. Bream, J.B. et al.; CH 511816
- 〖来源〗Drugs Fut
- 〖合成路线〗

- 〖标题〗BS 100-141
- 〖合成方法〗4) By reaction of the nitrile (I) with ethyl formate (B) by means of NaOEt in ethanol to give alpha-formyl-2,6-dichlorophenylacetonitrile (III), which is condensed with guanidine hydrochloride (A) by means of NaOEt in ethanol to yield alpha-(guanidinomethylene)-2,6-dichlorophenylacetonitrile (IV); this product is finally hydrolyzed and rearranged by means of HCl.
- 〖作者〗Arrigoni-Martelli, E.; Castaer, J.
- 〖参考〗Arrigoni-Martelli, E.; Castaer, J.; BS 100-141. Drugs Fut 1976, 1, 4, 167
- 〖出处〗Drugs Fut1976,1,(4):167
- 〖备注〗Synthesis
It can be prepared in several different ways:
1) By methanolysis of 2,6-dichlorophenylacetonitrile (I) by means of H2SO4 to methyl 2,6-dichlorophenylacetate (II), which is then condensed with guanidine (A) in isopropanol (1,2) (Scheme 09151001a).
2) By condensation of S-methylisothiourea (V) with 2,6-dichlorophenylacetyl chloride (VI) in acetone to afford S-methyl-N-(2,6-dichlorophenylacetyl)isothiourea (VII); this product is then treated with ammonia in isopropanol (2) (Scheme 09151001a).
3) By condensation of 2,6-dichlorophenylacetic acid (VIII) with guanidine (A) in toluene (2) (Scheme 09151001a).
4) By reaction of the nitrile (I) with ethyl formate (B) by means of NaOEt in ethanol to give alpha-formyl-2,6-dichlorophenylacetonitrile (III), which is condensed with guanidine hydrochloride (A) by means of NaOEt in ethanol to yield alpha-(guanidinomethylene)-2,6-dichlorophenylacetonitrile (IV); this product is finally hydrolyzed and rearranged by means of HCl (3,4) (Scheme 09151002a).
Description
Needles, m.p. 215-7 C. Free base, m.p. 225-7 C.
Manufacturer
Sandoz (Switzerland)
References
1. Bream, J.B. et al.; Arzneim-Forsch 1975, 25, 1477
2. Bream, J.B. et al.; FR 1584670
3. Bream, J.B. et al.; CH 518910
4. Bream, J.B. et al.; CH 511816
- 〖来源〗DE 179348; FR 1584670; GB 1235723; US 3632645
- 〖合成路线〗

- 〖标题〗Substituted phenylacethyl derivatives of guanidine, O-alkylisoureas, S-alkylisothioureas and p-benzylalkylisothioureas
- 〖合成方法〗1) By methanolysis of 2,6-dichlorophenylacetonitrile (I) by means of H2SO4 to methyl 2,6-dichlorophenylacetate (II), which is then condensed with guanidine (A) in isopropanol.
2) By condensation of S-methylisothiourea (V) with 2,6-dichlorophenylacetyl chloride (VI) in acetone to afford S-methyl-N-(2,6-dichlorophenylacetyl)isothiourea (VII); this product is then treated with ammonia in isopropanol.
3) By condensation of 2,6-dichlorophenylacetic acid (VIII) with guanidine (A) in toluene.
- 〖作者〗Bream, J.B.; et al. (Novartis AG)
- 〖参考〗Bream, J.B.; et al. (Novartis AG); Substituted phenylacethyl derivatives of guanidine, O-alkylisoureas, S-alkylisothioureas and p-benzylalkylisothioureas. DE 179348; FR 1584670; GB 1235723; US 3632645
- 〖出处〗DE 179348; FR 1584670; GB 1235723; US 3632645,,():
- 〖备注〗
- 〖来源〗CH 518910
- 〖合成路线〗

- 〖标题〗Verfahren zur Herstellung von Acylguanidinen
- 〖合成方法〗4) By reaction of the nitrile (I) with ethyl formate (B) by means of NaOEt in ethanol to give alpha-formyl-2,6-dichlorophenylacetonitrile (III), which is condensed with guanidine hydrochloride (A) by means of NaOEt in ethanol to yield alpha-(guanidinomethylene)-2,6-dichlorophenylacetonitrile (IV); this product is finally hydrolyzed and rearranged by means of HCl.
- 〖作者〗Bream, J.B.; et al.
- 〖参考〗Bream, J.B.; et al.; Verfahren zur Herstellung von Acylguanidinen. CH 518910
- 〖出处〗CH 518910,,():
- 〖备注〗
- 〖来源〗CH 511816
- 〖合成路线〗

- 〖标题〗Verfahren zur Herstellung von Acylguanidinen
- 〖合成方法〗4) By reaction of the nitrile (I) with ethyl formate (B) by means of NaOEt in ethanol to give alpha-formyl-2,6-dichlorophenylacetonitrile (III), which is condensed with guanidine hydrochloride (A) by means of NaOEt in ethanol to yield alpha-(guanidinomethylene)-2,6-dichlorophenylacetonitrile (IV); this product is finally hydrolyzed and rearranged by means of HCl.
- 〖作者〗Bream, J.B.; et al.
- 〖参考〗Bream, J.B.; et al.; Verfahren zur Herstellung von Acylguanidinen. CH 511816
- 〖出处〗CH 511816,,():
- 〖备注〗
本文导航:
-
(1)
Guanfacine hydrochloride, SPD-503, BS-100-141, Estulic, Tene