当前位置:
首页 »
资料 »
药物合成路线 » Lacidipine, SN-305, GX-1048, GR-43659X, Viapres, Caldine, Mo
Lacidipine, SN-305, GX-1048, GR-43659X, Viapres, Caldine, Mo

更新日期:2018-11-23 浏览次数:
456
摘 要:Lacidipine, SN-305, GX-1048, GR-43659X, Viapres, Caldine, Motens, Lacipil, Lacirex,103890-78-4,C26-H33-N-O6,(E)-4-[2-[2-(tert-Butoxycarbonyl)vinyl]phenyl]-2,6-dimethyl-1,4-dihydropyridine-3,5-dicarboxylic acid diethyl ester
- 【药物名称】Lacidipine, SN-305, GX-1048, GR-43659X, Viapres, Caldine, Motens, Lacipil, Lacirex
- 【化学名】(E)-4-[2-[2-(tert-Butoxycarbonyl)vinyl]phenyl]-2,6-dimethyl-1,4-dihydropyridine-3,5-dicarboxylic acid diethyl ester
- 【CAS登记号】103890-78-4
- 【结构式】

- 【分子式】C26-H33-N-O6
- 【分子量】455.556
- 【原研厂家】GlaxoSmithKline (Originator), Boehringer Ingelheim (Licensee), Zambon (Licensee)
- 【作用类别】CARDIOVASCULAR DRUGS, Hypertension, Treatment of, Calcium Channel Blockers
- 【研发状态】Launched-1991
- 【合成情况】
- 〖来源〗Drugs Fut
- 〖合成路线〗

- 〖标题〗LACIDIPINE < Rec INN; BAN; USAN >
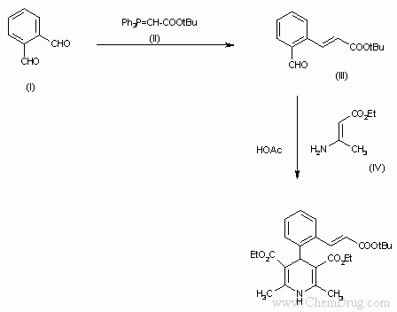
- 〖合成方法〗The Wittig condensation of o-phthalaldehyde (I) with tert-butyl triphenylphosphoranylideneacetate (II) in methylene chloride gives tert-butyl 3-(2-formylphenyl)-2(E)-propenoate (III), which is then cyclized with ethyl 3-aminocrotonate (IV) in acetic acid.
- 〖作者〗Prous, J.; Castaer, J.
- 〖参考〗Prous, J.; Castaer, J.; LACIDIPINE Rec INN; BAN; USAN >. Drugs Fut 1989, 14, 4, 317
- 〖出处〗Drugs Fut1989,14,(4):317
- 〖备注〗The Wittig condensation of o-phthalaldehyde (I) with tert-butyl triphenylphosphoranylideneacetate (II) in methylene chloride gives tert-butyl 3-(2-formylphenyl)-2(E)-propenoate (III), which is then cyclized with ethyl 3-aminocrotonate (IV) in acetic acid (1).
Description Crystals, m.p. 173-5?(1).
Manufacturer Glaxo SpA (Italy).
References
1. Semeraro, C., Micheli, D., Pieraccioli, D., Gaviraghi, G. and Barthwick, A.D. (Glaxo SpA). 3,5-Pyridinedicarboxylic acid derivatives, process for preparing them and pharmaceutical compositions containing them. AU 8546576, DE 3529997, ES 8703839, ES 8707930, ES 8707931, ES 8707932, ES 8802497, FR 2569402, GB 2164336.
- 〖来源〗ES 8703839; ES 8703839; US 4801599; US 5011848
- 〖合成路线〗

- 〖标题〗1,4-dihydropyridines.
- 〖合成方法〗The Wittig condensation of o-phthalaldehyde (I) with tert-butyl triphenylphosphoranylideneacetate (II) in methylene chloride gives tert-butyl 3-(2-formylphenyl)-2(E)-propenoate (III), which is then cyclized with ethyl 3-aminocrotonate (IV) in acetic acid.
- 〖作者〗Borthwick, A.D.; Pierccioli, D.; Micheli, D.; Semeraro, C.; Gaviraghi, G. (Glaxo SpA)
- 〖参考〗Borthwick, A.D.; Pierccioli, D.; Micheli, D.; Semeraro, C.; Gaviraghi, G. (Glaxo SpA); 1,4-dihydropyridines.. ES 8703839; ES 8703839; US 4801599; US 5011848
- 〖出处〗ES 8703839; ES 8703839; US 4801599; US 5011848,,():
- 〖备注〗
本文导航:
-
(1)
Lacidipine, SN-305, GX-1048, GR-43659X, Viapres, Caldine, Mo