当前位置:
首页 »
资料 »
药物合成路线 » Aripiprazole, OPC-31, OPC-14597, Abilify, Abilitat,129722-12
Aripiprazole, OPC-31, OPC-14597, Abilify, Abilitat,129722-12

更新日期:2018-11-23 浏览次数:
423
摘 要:Aripiprazole, OPC-31, OPC-14597, Abilify, Abilitat,129722-12-9, 129722-15-2 (fumarate salt), 129722-13-0 (HCl), 129722-16-3 (maleate),C23-H27-Cl2-N3-O2,7-[4-[4-(2,3-Dichlorophenyl)piperazin-1-yl]butoxy]-3,4-dihydrocarbostyril; 7-[4-[4-(2,3-Dichloroph
- 【药物名称】Aripiprazole, OPC-31, OPC-14597, Abilify, Abilitat
- 【化学名】7-[4-[4-(2,3-Dichlorophenyl)piperazin-1-yl]butoxy]-3,4-dihydrocarbostyril; 7-[4-[4-(2,3-Dichlorophenyl)piperazin-1-yl]butoxy]-1,2,3,4-tetrahydroquinolin-2-one
- 【CAS登记号】129722-12-9, 129722-15-2 (fumarate salt), 129722-13-0 (HCl), 129722-16-3 (maleate)
- 【结构式】

- 【分子式】C23-H27-Cl2-N3-O2
- 【分子量】448.3913
- 【原研厂家】Otsuka (Originator), Bristol-Myers Squibb (Licensee)
- 【作用类别】Alzheimer's Dementia, Treatment of , Antipsychotic Drugs, Bipolar Disorder, Treatment of, Cognition Disorders, Treatment of, Mood Disorders, Treatment of, NEUROLOGIC DRUGS, PSYCHOPHARMACOLOGIC DRUGS, 5-HT1A Partial Agonists, Dopamine D2 Receptor Partial Agonists
- 【研发状态】Launched-2002
- 【合成情况】
- 〖来源〗Drugs Fut
- 〖合成路线〗

- 〖标题〗OPC-14597
- 〖合成方法〗By condensation of 7-(4-bromobutoxy)-1,2,3,4-tetrahydroquinolin-2-one (I) with 1-(2,3-dichlorophenyl)piperazine (II) by means of NaI and triethylamine in refluxing acetonitrile.
- 〖作者〗Castaer, J.; Mealy, N.; Rabasseda, X.
- 〖参考〗Castaer, J.; Mealy, N.; Rabasseda, X.; OPC-14597. Drugs Fut 1995, 20, 9, 884
- 〖出处〗Drugs Fut1995,20,(9):884
- 〖备注〗Synthesis
By condensation of 7-(4-bromobutoxy)-1,2,3,4-tetrahydroquinolin-2-one (I) with 1-(2,3-dichlorophenyl)piperazine (II) by means of NaI and triethylamine in refluxing acetonitrile (1).
Description
Colorless flake crystals, m.p. 139.0-9.5 C; hydrochloride, white powder, m.p. 214-22 C (decomp.); fumarate, white powder, m.p. 196-8 C; maleate, white powder, m.p. 172-80 C.
Manufacturer
Otsuka Pharm. Co., Ltd. (JP).
References
1. Oshiro, Y., Sato, S., Kurahashi, K. (Otsuka Pharm. Co., Ltd.). Carbostyril derivs. EP 367141, JP 90191256, US 5006528.
- 〖来源〗J Med Chem
- 〖合成路线〗

- 〖标题〗Novel antipsychotic agents with dopamine autoreceptor agonist properties: Synthesis and pharmacology of 7-[4-(4-phenyl-1-piperazinyl)butoxy]-3, 4-dihydro-2(1H)-quinolinone derivatives
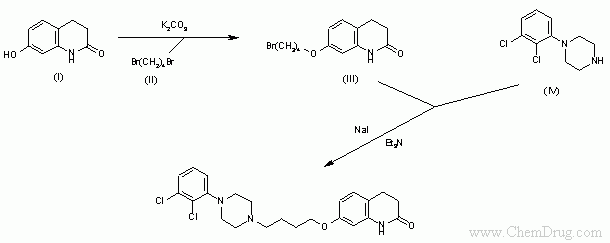
- 〖合成方法〗The condensation of 7-hydroxy-1,2,3,4-tetrahydroquinolin-2-one (I) with 1,4-dibromobutane (II) by means of K2CO3 in hot DMF gives 7-(4-bromobutoxy)-1,2,3,4-tetrahydroquinolin-2-one (III), which is then condensed with 1-(2,3-dichlorophenyl)piperazine (IV) by means of NaI and triethylamine in refluxing acetonitrile.
- 〖作者〗Kikuchi, T.; Oshiro, Y.; Nishi, T.; Kurahashi, N.; Tottori, K.; Tanaka, T.; Sato, S.; Uwahodo, Y.
- 〖参考〗Kikuchi, T.; Oshiro, Y.; Nishi, T.; Kurahashi, N.; Tottori, K.; Tanaka, T.; Sato, S.; Uwahodo, Y.; Novel antipsychotic agents with dopamine autoreceptor agonist properties: Synthesis and pharmacology of 7-[4-(4-phenyl-1-piperazinyl)butoxy]-3, 4-dihydro-2(55273-05-7 (free base)/li>
li>??p耀?Losartan potassiu
- 〖出处〗J Med Chem1998,41,(5):658
- 〖备注〗The condensation of 7-hydroxy-1,2,3,4-tetrahydroquinolin-2-one (I) with 1,4-dibromobutane (II) by means of K2CO3 in hot DMF gives 7-(4-bromobutoxy)-1,2,3,4-tetrahydroquinolin-2-one (III), which is then condensed with 1-(2,3-dichlorophenyl)piperazine (IV) by means of NaI and triethylamine in refluxing acetonitrile.
- 〖来源〗EP 0367141; JP 1990191256; JP 1995304740; JP 1995304741; US 5006528
- 〖合成路线〗

- 〖标题〗Carbostyril derivs
- 〖合成方法〗By condensation of 7-(4-bromobutoxy)-1,2,3,4-tetrahydroquinolin-2-one (I) with 1-(2,3-dichlorophenyl)piperazine (II) by means of NaI and triethylamine in refluxing acetonitrile.
- 〖作者〗Oshiro, Y.; Sato, S.; Kurahashi, N. (Otsuka Pharmaceutical Co., Ltd.)
- 〖参考〗Oshiro, Y.; Sato, S.; Kurahashi, N. (Otsuka Pharmaceutical Co., Ltd.); Carbostyril derivs. EP 0367141; JP 1990191256; JP 1995304740; JP 1995304741; US 5006528
- 〖出处〗EP 0367141; JP 1990191256; JP 1995304740; JP 1995304741; US 5006528,,():
- 〖备注〗
本文导航:
-
(1)
Aripiprazole, OPC-31, OPC-14597, Abilify, Abilitat,129722-12