当前位置:
首页 »
资料 »
药物合成路线 » Roflumilast, APTA-2217, BY-217, Daxas,162401-32-3,C17-H14-Cl
Roflumilast, APTA-2217, BY-217, Daxas,162401-32-3,C17-H14-Cl

更新日期:2018-11-23 浏览次数:
328
摘 要:Roflumilast, APTA-2217, BY-217, Daxas,162401-32-3,C17-H14-Cl2-F2-N2-O3,3-(Cyclopropylmethoxy)-N-(3,5-dichloropyridin-4-yl)-4-(difluoromethoxy)benzamide
- 【药物名称】Roflumilast, APTA-2217, BY-217, Daxas
- 【化学名】3-(Cyclopropylmethoxy)-N-(3,5-dichloropyridin-4-yl)-4-(difluoromethoxy)benzamide
- 【CAS登记号】162401-32-3
- 【结构式】

- 【分子式】C17-H14-Cl2-F2-N2-O3
- 【分子量】403.216
- 【原研厂家】Altana (Originator), Tanabe Seiyaku (Licensee), Pfizer (Codevelopment)
- 【作用类别】Antiallergy/Antiasthmatic Drugs, Asthma Therapy, Chronic Obstructive Bronchitis, Agents for, Chronic Obstructive Pulmonary Diseases (COPD), Treatment of, RESPIRATORY DRUGS, Phosphodiesterase IV Inhibitors
- 【研发状态】Pre-Registered
- 【合成情况】
- 〖来源〗Drugs Fut
- 〖合成路线〗

- 〖标题〗Roflumilast
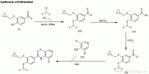
- 〖合成方法〗Condensation of the benzaldehyde derivative (I) with chlorodifluoromethane (II) by means of NaOH and benzyltrimethylammonium chloride (BTMA) in dioxane/water gives 3-(cyclopropylmethoxy)-4-(difluoromethoxy)benzaldehyde (III), which is oxidized with NaClO2 and sulfamic acid in acetic acid to yield the corresponding benzoic acid derivative (IV). The reaction of (IV) with SOCl2 in refluxing toluene affords the acyl chloride (V), which is finally condensed with 3,5-dichloropyridin-4-amine (VI) by means of NaH in THF.
- 〖作者〗Castaer, J.; Leeson, P.A.; Sorbera, L.A.
- 〖参考〗Castaer, J.; Leeson, P.A.; Sorbera, L.A.; Roflumilast. Drugs Fut 2000, 25, 12, 1261
- 〖出处〗Drugs Fut2000,25,(12):1261
- 〖备注〗Synthesis of Roflumilast (EN:224324):
Condensation of the benzaldehyde derivative (I) with chlorodifluoromethane (II) by means of NaOH and benzyltrimethylammonium chloride (BTMA) in dioxane/water gives 3-(cyclopropylmethoxy)-4-(difluoromethoxy)benzaldehyde (III), which is oxidized with NaClO2 and sulfamic acid in acetic acid to yield the corresponding benzoic acid derivative (IV). The reaction of (IV) with SOCl2 in refluxing toluene affords the acyl chloride (V), which is finally condensed with 3,5-dichloropyridin-4-amine (VI) by means of NaH in THF (1) (Scheme 22432401a).
Description
Crystals, m.p. 158 C.
Manufacturer
Byk Gulden Lomberg Chemische Fabrik GmbH (DE).
Reference
1. Flockerzi, D., Gutterer, B., Hatzelmann, A., Schudt, C., Kilian, U., Wolf, H. (Byk Gulden Lomberg Chemische Fabrik GmbH). Fluoroalkoxy-substd. benzamides and their use as cyclic nucleotide phosphodiesterase inhibitors. EP 0706513, JP 1996512041, US 5712298, WO 9501338.
- 〖来源〗EP 0706513; JP 1996512041; US 5712298; WO 9501338
- 〖合成路线〗

- 〖标题〗Fluoroalkoxy-substd. benzamides and their use as cyclic nucleotide phosphodiesterase inhibitors
- 〖合成方法〗Condensation of the benzaldehyde derivative (I) with chlorodifluoromethane (II) by means of NaOH and benzyltrimethylammonium chloride (BTMA) in dioxane/water gives 3-(cyclopropylmethoxy)-4-(difluoromethoxy)benzaldehyde (III), which is oxidized with NaClO2 and sulfamic acid in acetic acid to yield the corresponding benzoic acid derivative (IV). The reaction of (IV) with SOCl2 in refluxing toluene affords the acyl chloride (V), which is finally condensed with 3,5-dichloropyridin-4-amine (VI) by means of NaH in THF.
- 〖作者〗Flockerzi, D.; Gutterer, B.; Hatzelmann, A.; Schudt, C.; Beume, R.; Kilian, U.; Wolf, H.P.O. (Byk Gulden Lomberg Chemische Fabrik GmbH)
- 〖参考〗Flockerzi, D.; Gutterer, B.; Hatzelmann, A.; Schudt, C.; Beume, R.; Kilian, U.; Wolf, H.P.O. (Byk Gulden Lomberg Chemische Fabrik GmbH); Fluoroalkoxy-substd. benzamides and their use as cyclic nucleotide phosphodiesterase inhibitors. EP 0706513; JP 19965155273-05-7 (free base)/li>
- 〖出处〗EP 0706513; JP 1996512041; US 5712298; WO 9501338,,():
- 〖备注〗
本文导航:
-
(1)
Roflumilast, APTA-2217, BY-217, Daxas,162401-32-3,C17-H14-Cl