当前位置:
首页 »
资料 »
药物合成路线 » Vilazodone hydrochloride, SB-659746A, EMD-68843,163521-08-2,
Vilazodone hydrochloride, SB-659746A, EMD-68843,163521-08-2,

更新日期:2018-11-23 浏览次数:
532
摘 要:Vilazodone hydrochloride, SB-659746A, EMD-68843,163521-08-2, 163521-12-8 (free base),C26-H27-N5-O2.Cl-H,5-[4-[4-(5-Cyanoindol-3-yl)butyl]piperazin-1-yl]benzofuran-2-carboxamide hydrochloride
- 【药物名称】Vilazodone hydrochloride, SB-659746A, EMD-68843
- 【化学名】5-[4-[4-(5-Cyanoindol-3-yl)butyl]piperazin-1-yl]benzofuran-2-carboxamide hydrochloride
- 【CAS登记号】163521-08-2, 163521-12-8 (free base)
- 【结构式】

- 【分子式】C26-H27-N5-O2.Cl-H
- 【分子量】477.9932
- 【原研厂家】Merck KGaA (Originator)
- 【作用类别】Antidepressants, Mood Disorders, Treatment of, PSYCHOPHARMACOLOGIC DRUGS, 5-HT Reuptake Inhibitors, 5-HT1A Partial Agonists
- 【研发状态】Discontinued
- 【合成情况】
- 〖来源〗Drugs Fut
- 〖合成路线〗

- 〖标题〗Vilazodone Hydrochloride
- 〖合成方法〗Vilazodone can be prepared by two related ways:
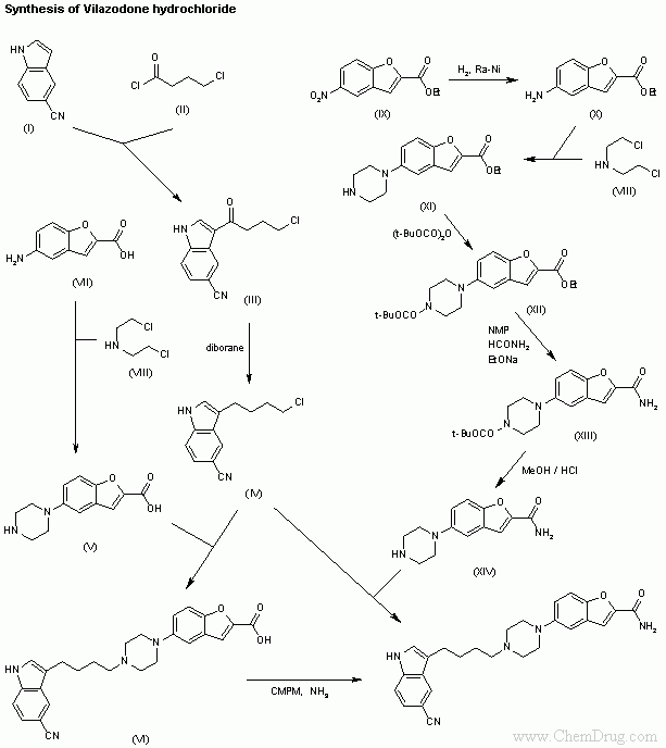
1) The condensation of indole-5-carbonitrile (I) with 4-chlorobutyryl chloride (II) gives 3-(4-chlorobutyryl)-1H-indole-5-carbonitrile (III), which is reduced with diborane, yielding 3-(4-chlorobutyl)-1H-indole-5-carbonitrile (IV). Reaction of compound (IV) with 5-(1-piperazinyl)benzofuran-2-carboxylic acid (V) affords the expected 1,4-disubstituted piperazine (VI). Finally, the carboxy group of (VI) is converted into the target carboxamide by reaction with 2-chloro-1-methylpyridinium methanesulfonate (CMPM) and ammonia gas. 5-(1-Piperazinyl)benzofuran-2-carboxylic acid (V) is obtained by cyclization of 5-aminobenzofuran-2-carboxylic acid (VII) with bis(2-chloroethyl)amine (VIII).
2) The hydrogenation of 5-nitrobenzofuran-2-carboxylic acid ethyl ester (IX) with H2 and Raney nickel in MeOH gives the corresponding 5-aminobenzofuran compound (X), which is cyclized with bis(2-chloroethyl)amine (VIII) in dichloromethane to afford 5-(1-piperazinyl)benzofuran-2-carboxylic acid ethyl ester (XI). Reaction of compound (XI) with di-tert-butyl dicarbonate in THF provides the protected amine compound 5-[4-(tert-butoxycarbonyl)-1-piperazinyl]benzofuran-2-carboxylic acid ethyl ester (XII), which first is reacted with formamide and sodium alkoxide in N-methylpyrrolidone to provide the corresponding amide (XIII) and then is deprotected by treatment with HCl/MeOH to give 5-(1-piperazinyl)benzofuran-2-carboxamide (XIV). Finally, amide (XIV) is condensed with 3-(4-chlorobutyl)-1H-indole-5-carbonitrile (IV).
- 〖作者〗Rabasseda, X.; Sorbera, L.A.; Silvestre, J.S.; Castaer, J.
- 〖参考〗Rabasseda, X.; Sorbera, L.A.; Silvestre, J.S.; Castaer, J.; Vilazodone Hydrochloride. Drugs Fut 2001, 26, 3, 247
- 〖出处〗Drugs Fut2001,26,(3):247
- 〖备注〗Synthesis of Vilazodone Hydrochloride (EN:226940):
Vilazodone can be prepared by two related ways:
1) The condensation of indole-5-carbonitrile (I) with 4-chlorobutyryl chloride (II) gives 3-(4-chlorobutyryl)-1H-indole-5-carbonitrile (III), which is reduced with diborane, yielding 3-(4-chlorobutyl)-1H-indole-5-carbonitrile (IV) (1). Reaction of compound (IV) with 5-(1-piperazinyl)benzofuran-2-carboxylic acid (V) affords the expected 1,4-disubstituted piperazine (VI). Finally, the carboxy group of (VI) is converted into the target carboxamide by reaction with 2-chloro-1-methylpyridinium methanesulfonate (CMPM) and ammonia gas (2). 5-(1-Piperazinyl)benzofuran-2-carboxylic acid (V) is obtained by cyclization of 5-aminobenzofuran-2-carboxylic acid (VII) with bis(2-chloroethyl)-amine (VIII) (2) (Scheme 22694001a).
2) The hydrogenation of 5-nitrobenzofuran-2-carboxylic acid ethyl ester (IX) with H2 and Raney nickel in MeOH gives the corresponding 5-aminobenzofuran compound (X), which is cyclized with bis(2-chloroethyl)amine (VIII) in dichloromethane to afford 5-(1-piperazinyl)benzofuran-2-carboxylic acid ethyl ester (XI). Reaction of compound (XI) with di-tert-butyl dicarbonate in THF provides the protected amine compound 5-[4-(tert-butoxycarbonyl)-1-piperazinyl]benzofuran-2-carboxylic acid ethyl ester (XII), which first is reacted with formamide and sodium alkoxide in N-methylpyrrolidone to provide the corresponding amide (XIII) and then is deprotected by treatment with HCl/MeOH to give 5-(1-piperazinyl)benzo- furan-2-carboxamide (XIV). Finally, amide (XIV) is condensed with 3-(4-chlorobutyl)-1H-indole-5-carbonitrile (IV) (3) (Scheme 22694001a).
Description
Hydrochloride, m.p. 269-72 C (2).
Manufacturer
Merck KGaA (DE); licensed to GlaxoSmithKline plc (GB).
References
1. Bttcher, H., Greiner, H., Seyfried, C., Bartoszyk, G. (Merck Patent GmbH). Indole derivs. DE 4101686, EP 0496222, JP 1992334366, US 5418237.
2. Bttcher, H., Seyfried, C., Bartoszyk, G., Greiner, H. (Merck Patent GmbH). Piperidine and piperazine derivs. which affect the CNS. CA 2133152, DE 4333254, EP 0648767, US 5532241.
3. Bathe, A., Helfert, B., Bttcher, H., Schuster, K. (Merck Patent GmbH). 5-Amino-benzofuran-2-carboxylic acid derivs. CA 2174494, DE 19514567, EP 0738722, JP 1996291161, US 5723614.
- 〖来源〗DE 4101686; EP 0496222; JP 1992334366; US 5418237
- 〖合成路线〗

- 〖标题〗Indole derivs.
- 〖合成方法〗Vilazodone can be prepared by two related ways:
1) The condensation of indole-5-carbonitrile (I) with 4-chlorobutyryl chloride (II) gives 3-(4-chlorobutyryl)-1H-indole-5-carbonitrile (III), which is reduced with diborane, yielding 3-(4-chlorobutyl)-1H-indole-5-carbonitrile (IV). Reaction of compound (IV) with 5-(1-piperazinyl)benzofuran-2-carboxylic acid (V) affords the expected 1,4-disubstituted piperazine (VI). Finally, the carboxy group of (VI) is converted into the target carboxamide by reaction with 2-chloro-1-methylpyridinium methanesulfonate (CMPM) and ammonia gas. 5-(1-Piperazinyl)benzofuran-2-carboxylic acid (V) is obtained by cyclization of 5-aminobenzofuran-2-carboxylic acid (VII) with bis(2-chloroethyl)amine (VIII).
2) The hydrogenation of 5-nitrobenzofuran-2-carboxylic acid ethyl ester (IX) with H2 and Raney nickel in MeOH gives the corresponding 5-aminobenzofuran compound (X), which is cyclized with bis(2-chloroethyl)amine (VIII) in dichloromethane to afford 5-(1-piperazinyl)benzofuran-2-carboxylic acid ethyl ester (XI). Reaction of compound (XI) with di-tert-butyl dicarbonate in THF provides the protected amine compound 5-[4-(tert-butoxycarbonyl)-1-piperazinyl]benzofuran-2-carboxylic acid ethyl ester (XII), which first is reacted with formamide and sodium alkoxide in N-methylpyrrolidone to provide the corresponding amide (XIII) and then is deprotected by treatment with HCl/MeOH to give 5-(1-piperazinyl)benzofuran-2-carboxamide (XIV). Finally, amide (XIV) is condensed with 3-(4-chlorobutyl)-1H-indole-5-carbonitrile (IV).
- 〖作者〗Bttcher, H.; Greiner, H.; Seyfried, C.; Bartoszyk, G. (Merck Patent GmbH)
- 〖参考〗Bttcher, H.; Greiner, H.; Seyfried, C.; Bartoszyk, G. (Merck Patent GmbH); Indole derivs.. DE 4101686; EP 0496222; JP 1992334366; US 5418237
- 〖出处〗DE 4101686; EP 0496222; JP 1992334366; US 5418237,,():
- 〖备注〗
- 〖来源〗CA 2133152; DE 4333254; EP 0648767; US 5532241
- 〖合成路线〗

- 〖标题〗Piperidine and piperazine derivs. which affect the CNS
- 〖合成方法〗Vilazodone can be prepared by two related ways:
1) The condensation of indole-5-carbonitrile (I) with 4-chlorobutyryl chloride (II) gives 3-(4-chlorobutyryl)-1H-indole-5-carbonitrile (III), which is reduced with diborane, yielding 3-(4-chlorobutyl)-1H-indole-5-carbonitrile (IV). Reaction of compound (IV) with 5-(1-piperazinyl)benzofuran-2-carboxylic acid (V) affords the expected 1,4-disubstituted piperazine (VI). Finally, the carboxy group of (VI) is converted into the target carboxamide by reaction with 2-chloro-1-methylpyridinium methanesulfonate (CMPM) and ammonia gas. 5-(1-Piperazinyl)benzofuran-2-carboxylic acid (V) is obtained by cyclization of 5-aminobenzofuran-2-carboxylic acid (VII) with bis(2-chloroethyl)amine (VIII).
2) The hydrogenation of 5-nitrobenzofuran-2-carboxylic acid ethyl ester (IX) with H2 and Raney nickel in MeOH gives the corresponding 5-aminobenzofuran compound (X), which is cyclized with bis(2-chloroethyl)amine (VIII) in dichloromethane to afford 5-(1-piperazinyl)benzofuran-2-carboxylic acid ethyl ester (XI). Reaction of compound (XI) with di-tert-butyl dicarbonate in THF provides the protected amine compound 5-[4-(tert-butoxycarbonyl)-1-piperazinyl]benzofuran-2-carboxylic acid ethyl ester (XII), which first is reacted with formamide and sodium alkoxide in N-methylpyrrolidone to provide the corresponding amide (XIII) and then is deprotected by treatment with HCl/MeOH to give 5-(1-piperazinyl)benzofuran-2-carboxamide (XIV). Finally, amide (XIV) is condensed with 3-(4-chlorobutyl)-1H-indole-5-carbonitrile (IV).
- 〖作者〗Bttcher, H.; Seyfried, C.; Bartoszyk, G.; Greiner, H. (Merck Patent GmbH)
- 〖参考〗Bttcher, H.; Seyfried, C.; Bartoszyk, G.; Greiner, H. (Merck Patent GmbH); Piperidine and piperazine derivs. which affect the CNS. CA 2133152; DE 4333254; EP 0648767; US 5532241
- 〖出处〗CA 2133152; DE 4333254; EP 0648767; US 5532241,,():
- 〖备注〗
- 〖来源〗CA 2174494; DE 19514567; EP 0738722; JP 1996291161; US 5723614
- 〖合成路线〗

- 〖标题〗5-Amino-benzofuran-2-carboxylic acid derivs.
- 〖合成方法〗Vilazodone can be prepared by two related ways:
1) The condensation of indole-5-carbonitrile (I) with 4-chlorobutyryl chloride (II) gives 3-(4-chlorobutyryl)-1H-indole-5-carbonitrile (III), which is reduced with diborane, yielding 3-(4-chlorobutyl)-1H-indole-5-carbonitrile (IV). Reaction of compound (IV) with 5-(1-piperazinyl)benzofuran-2-carboxylic acid (V) affords the expected 1,4-disubstituted piperazine (VI). Finally, the carboxy group of (VI) is converted into the target carboxamide by reaction with 2-chloro-1-methylpyridinium methanesulfonate (CMPM) and ammonia gas. 5-(1-Piperazinyl)benzofuran-2-carboxylic acid (V) is obtained by cyclization of 5-aminobenzofuran-2-carboxylic acid (VII) with bis(2-chloroethyl)amine (VIII).
2) The hydrogenation of 5-nitrobenzofuran-2-carboxylic acid ethyl ester (IX) with H2 and Raney nickel in MeOH gives the corresponding 5-aminobenzofuran compound (X), which is cyclized with bis(2-chloroethyl)amine (VIII) in dichloromethane to afford 5-(1-piperazinyl)benzofuran-2-carboxylic acid ethyl ester (XI). Reaction of compound (XI) with di-tert-butyl dicarbonate in THF provides the protected amine compound 5-[4-(tert-butoxycarbonyl)-1-piperazinyl]benzofuran-2-carboxylic acid ethyl ester (XII), which first is reacted with formamide and sodium alkoxide in N-methylpyrrolidone to provide the corresponding amide (XIII) and then is deprotected by treatment with HCl/MeOH to give 5-(1-piperazinyl)benzofuran-2-carboxamide (XIV). Finally, amide (XIV) is condensed with 3-(4-chlorobutyl)-1H-indole-5-carbonitrile (IV).
- 〖作者〗Bathe, A.; Helfert, B.; Bttcher, H.; Schuster, K. (Merck Patent GmbH)
- 〖参考〗Bathe, A.; Helfert, B.; Bttcher, H.; Schuster, K. (Merck Patent GmbH); 5-Amino-benzofuran-2-carboxylic acid derivs.. CA 2174494; DE 19514567; EP 0738722; JP 1996291161; US 5723614
- 〖出处〗CA 2174494; DE 19514567; EP 0738722; JP 1996291161; US 5723614,,():
- 〖备注〗
本文导航:
-
(1)
Vilazodone hydrochloride, SB-659746A, EMD-68843,163521-08-2,