当前位置:
首页 »
资料 »
医药中间体库 » 107-11-9,C3H7N,57.0959,Allylamine; 2-Propen-1-amine
107-11-9,C3H7N,57.0959,Allylamine; 2-Propen-1-amine

更新日期:2018-11-23 浏览次数:
451
摘 要:107-11-9,C3H7N,57.0959,Allylamine; 2-Propen-1-amine
- 【化学名】Allylamine; 2-Propen-1-amine
- 【CAS登记号】107-11-9
- 【结构式】

- 【分子式】C3H7N
- 【分子量】57.0959
- 【来源】ABCR GmbH & Co.; Acros Organics; Aldrich; Alfa Aesar; Celanese, Ltd.; ChemPur Feinchemikalien und Forschungsbedarf GmbH; Elan Chemical Company, Inc.; Fluka; ICN Biomedical Research Products; Jinhua Lixin Pharmaceutical and Chemical Co., Ltd.; Koei Chemical Company, Ltd; Lancaster Synthesis Inc.; Pfaltz & Bauer, Inc.; TCI; Xiamen Topusing Chemical Co., Ltd.
- 【合成情况】
- 〖目标产物〗L1NAll
- 〖合成路线〗

- 〖合成方法〗By reflux reaction of 3-hydroxy-2-methylpyridin-4-one (maltol) (I) with allylamine (II) solution in water for 3 h.
- 〖参考〗Kontoghiorghes, G.J.; L1NAll. Drugs Fut 1990, 15, 3, 230
- 〖目标产物〗L1NAll
- 〖合成路线〗

- 〖合成方法〗By reflux reaction of 3-hydroxy-2-methylpyridin-4-one (maltol) (I) with allylamine (II) solution in water for 3 h.
- 〖参考〗Kontoghiorghes, G.J.; Sheppard, L.N. (Royal Free Hospital); Process for producing pyrid-4-ones. EP 0335745
- 〖目标产物〗Tebipenem, L-036, LJC-11036
- 〖合成路线〗

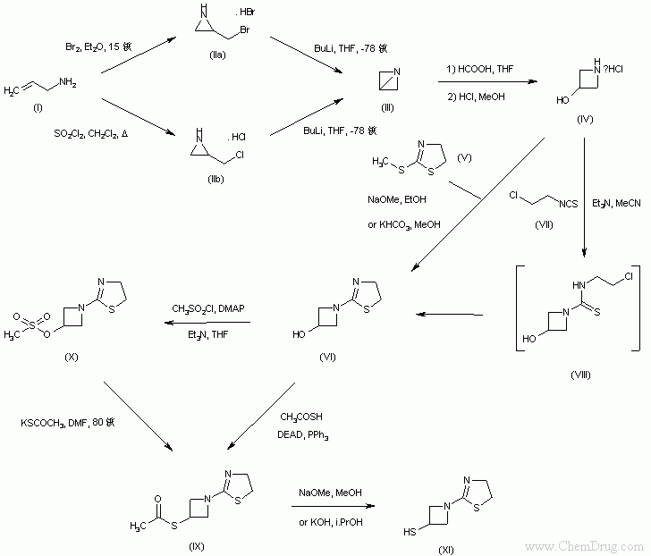
- 〖合成方法〗Halogenation of allylamine (I) with either bromine or sulfuryl chloride produced the corresponding (halomethyl)aziridines (II). Subsequent treatment of (II) with n-butyllithium at -78 C yielded 1-azabicyclobutane (III). Opening of the bicyclic system of (III) with formic acid followed by acid hydrolysis provided 3-hydroxyazetidine (IV). This was condensed with 2-(methylsulfanyl)thiazoline (V) to give thiazolinylazetidine (VI). Alternatively, 3-hydroxyazetidine (IV) was condensed with 2-chloroethyl isothiocyanate (VII) to give the intermediate thiourea (VIII), which cyclized to the thiazoline (VI). Conversion of the hydroxyl group of (VI) into the thioacetate (IX) was carried out by either coupling with thioacetic acid under Mitsunobu conditions or by conversion to mesylate (X) followed by displacement with potassium thioacetate. The required thiol (XI) was then obtained from (IX) by basic hydrolysis of the thioacetate ester.
- 〖参考〗Satoh, C.; Mihira, A.; Yamamoto, S.; Hayashi, K.; Kitamura, M.; Tamai, S.; Abe, T.; Kumagai, T.; Hikida, M.; L-084, a new oral carbapenem: Synthesis and structure-activity relationships of C2-substituted 1beta-methylcarbapenems. 38th Intersci Conf Antimic物〗/span>Osutidine, T-593/li>
??缙b??b??ogra?]???`?_?
- 〖目标产物〗Tebipenem, L-036, LJC-11036
- 〖合成路线〗

- 〖合成方法〗Halogenation of allylamine (I) with either bromine or sulfuryl chloride produced the corresponding (halomethyl)aziridines (II). Subsequent treatment of (II) with n-butyllithium at -78 C yielded 1-azabicyclobutane (III). Opening of the bicyclic system of (III) with formic acid followed by acid hydrolysis provided 3-hydroxyazetidine (IV). This was condensed with 2-(methylsulfanyl)thiazoline (V) to give thiazolinylazetidine (VI). Alternatively, 3-hydroxyazetidine (IV) was condensed with 2-chloroethyl isothiocyanate (VII) to give the intermediate thiourea (VIII), which cyclized to the thiazoline (VI). Conversion of the hydroxyl group of (VI) into the thioacetate (IX) was carried out by either coupling with thioacetic acid under Mitsunobu conditions or by conversion to mesylate (X) followed by displacement with potassium thioacetate. The required thiol (XI) was then obtained from (IX) by basic hydrolysis of the thioacetate ester.
- 〖参考〗Abe, T.; Isoda, T.; Sato, C.; Mihira, A.; Tamai, S.; Kumagai, T. (Lederle (Japan), Ltd.); 2-(1-(1,3-Thiazolin-2-yl)azetidin-3-yl)thio-carbapenem derivs.. EP 0632039; EP 0717042; JP 1996053453; US 5534510; US 5659043; US 5783703
- 〖目标产物〗Tebipenem, L-036, LJC-11036
- 〖合成路线〗

- 〖合成方法〗Halogenation of allylamine (I) with either bromine or sulfuryl chloride produced the corresponding (halomethyl)aziridines (II). Subsequent treatment of (II) with n-butyllithium at -78 C yielded 1-azabicyclobutane (III). Opening of the bicyclic system of (III) with formic acid followed by acid hydrolysis provided 3-hydroxyazetidine (IV). This was condensed with 2-(methylsulfanyl)thiazoline (V) to give thiazolinylazetidine (VI). Alternatively, 3-hydroxyazetidine (IV) was condensed with 2-chloroethyl isothiocyanate (VII) to give the intermediate thiourea (VIII), which cyclized to the thiazoline (VI). Conversion of the hydroxyl group of (VI) into the thioacetate (IX) was carried out by either coupling with thioacetic acid under Mitsunobu conditions or by conversion to mesylate (X) followed by displacement with potassium thioacetate. The required thiol (XI) was then obtained from (IX) by basic hydrolysis of the thioacetate ester.
- 〖参考〗Abe, T.; Kumagai, T. (Lederle (Japan), Ltd.); Carbapenem-3-carboxylic acid ester derivs.. EP 0808315; JP 1999504039; US 5886172; WO 9721712
- 〖目标产物〗KOS-953, 17-AAG, CP-127374, NSC-330507D, NSC-330507
- 〖合成路线〗

- 〖合成方法〗The title compound was prepared by displacement of the 17-methoxy group of geldanamycin (I) with allylamine (II) in chloroform at room temperature.
- 〖参考〗Schnur, R.C.; et al.; erbB-2 oncogene inhibition by geldanamycin derivatives: Synthesis, mechanism of action, and structure-activity relationships. J Med Chem 1995, 38, 19, 3813
- 〖目标产物〗KOS-953, 17-AAG, CP-127374, NSC-330507D, NSC-330507
- 〖合成路线〗

- 〖合成方法〗The title compound was prepared by displacement of the 17-methoxy group of geldanamycin (I) with allylamine (II) in chloroform at room temperature.
- 〖参考〗Inoue, Y.; Sasaki, K. (Kaken Pharmaceutical Co., Ltd.); Geldanamycin derivs. and antitumor drug. US 4261989
- 〖目标产物〗Oseltamivir phosphate, Ro-64-0796/002, GS-4104/002, Ro-64-0796(free base), GS-4104(free base), Tamiflu
- 〖合成路线〗

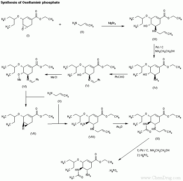
- 〖合成方法〗A new synthesis of oseltamivir phosphate has been described: The opening of the oxirane ring of the already reported oseltamivir intermediate (I) by reaction with allylamine (II) in t-BuOMe/MeCN 9:1 provides the allylamino derivative (III), which is deallylated with Pd/C and ethanolamine to give the primary amine (IV). The direct conversion of the amino alcohol (IV) into the vicinal diamine (VIII) is achieved, without isolation of the intermediates, by reaction of compound (IV) with benzaldehyde to give the benzaldehyde imine (V), mesylation of (V) with MsCl and TEA to the mesylate (VI) and treatment of (VI) with allylamine (II) to yield the aziridine intermediate (VII) that opens to the vicinal diamine (VIII). Acylation of the primary amino group of (VIII) with acetic anhydride in acetic acid provides the acetamide (IX), which is finally deallylated with Pd/C and ethanolamine as before and treated with H3PO4.
- 〖参考〗Trussardi, R.; Karpf, M.; New, azide-free transformation of epoxides into 1,2-diamino compounds: Synthesis of the anti-influenza neuraminidase inhibitor oseltamivir phosphate (Tamiflu). J Org Chem 2001, 66, 6, 2044
- 〖目标产物〗Tebipenem pivoxil, L-084
- 〖合成路线〗

- 〖合成方法〗Halogenation of allylamine (I) with either bromine or sulfuryl chloride produced the corresponding (halomethyl)aziridines (II). Subsequent treatment of (II) with n-butyllithium at -78 C yielded 1-azabicyclobutane (III). Opening of the bicyclic system of (III) with formic acid followed by acid hydrolysis provided 3-hydroxyazetidine (IV). This was condensed with 2-(methylsulfanyl)thiazoline (V) to give thiazolinylazetidine (VI). Alternatively, 3-hydroxyazetidine (IV) was condensed with 2-chloroethyl isothiocyanate (VII) to give the intermediate thiourea (VIII), which cyclized to the thiazoline (VI). Conversion of the hydroxyl group of (VI) into the thioacetate (IX) was carried out by either coupling with thioacetic acid under Mitsunobu conditions or by conversion to mesylate (X) followed by displacement with potassium thioacetate. The required thiol (XI) was then obtained from (IX) by basic hydrolysis of the thioacetate ester.
- 〖参考〗Satoh, C.; Mihira, A.; Yamamoto, S.; Hayashi, K.; Kitamura, M.; Tamai, S.; Abe, T.; Kumagai, T.; Hikida, M.; L-084, a new oral carbapenem: Synthesis and structure-activity relationships of C2-substituted 1beta-methylcarbapenems. 38th Intersci Conf Antimic物〗/span>Osutidine, T-593/li>
??缙b??b??ogra?]???`?_?
- 〖目标产物〗Tebipenem pivoxil, L-084
- 〖合成路线〗

- 〖合成方法〗Halogenation of allylamine (I) with either bromine or sulfuryl chloride produced the corresponding (halomethyl)aziridines (II). Subsequent treatment of (II) with n-butyllithium at -78 C yielded 1-azabicyclobutane (III). Opening of the bicyclic system of (III) with formic acid followed by acid hydrolysis provided 3-hydroxyazetidine (IV). This was condensed with 2-(methylsulfanyl)thiazoline (V) to give thiazolinylazetidine (VI). Alternatively, 3-hydroxyazetidine (IV) was condensed with 2-chloroethyl isothiocyanate (VII) to give the intermediate thiourea (VIII), which cyclized to the thiazoline (VI). Conversion of the hydroxyl group of (VI) into the thioacetate (IX) was carried out by either coupling with thioacetic acid under Mitsunobu conditions or by conversion to mesylate (X) followed by displacement with potassium thioacetate. The required thiol (XI) was then obtained from (IX) by basic hydrolysis of the thioacetate ester.
- 〖参考〗Abe, T.; Isoda, T.; Sato, C.; Mihira, A.; Tamai, S.; Kumagai, T. (Lederle (Japan), Ltd.); 2-(1-(1,3-Thiazolin-2-yl)azetidin-3-yl)thio-carbapenem derivs.. EP 0632039; EP 0717042; JP 1996053453; US 5534510; US 5659043; US 5783703
- 〖目标产物〗Tebipenem pivoxil, L-084
- 〖合成路线〗

- 〖合成方法〗Halogenation of allylamine (I) with either bromine or sulfuryl chloride produced the corresponding (halomethyl)aziridines (II). Subsequent treatment of (II) with n-butyllithium at -78 C yielded 1-azabicyclobutane (III). Opening of the bicyclic system of (III) with formic acid followed by acid hydrolysis provided 3-hydroxyazetidine (IV). This was condensed with 2-(methylsulfanyl)thiazoline (V) to give thiazolinylazetidine (VI). Alternatively, 3-hydroxyazetidine (IV) was condensed with 2-chloroethyl isothiocyanate (VII) to give the intermediate thiourea (VIII), which cyclized to the thiazoline (VI). Conversion of the hydroxyl group of (VI) into the thioacetate (IX) was carried out by either coupling with thioacetic acid under Mitsunobu conditions or by conversion to mesylate (X) followed by displacement with potassium thioacetate. The required thiol (XI) was then obtained from (IX) by basic hydrolysis of the thioacetate ester.
- 〖参考〗Abe, T.; Kumagai, T. (Lederle (Japan), Ltd.); Carbapenem-3-carboxylic acid ester derivs.. EP 0808315; JP 1999504039; US 5886172; WO 9721712
- 〖目标产物〗LWH-154
- 〖合成路线〗

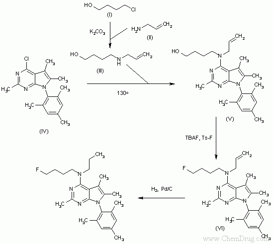
- 〖合成方法〗The reaction of 4-chloro-1-butanol (I) with allylamine (II) by means of K2CO3 in refluxing THF gives N-allyl-N-(4-hydroxybutyl)amine (III), which is condensed with the pyrrolo[2,3-d]pyrimidine derivative (IV) by heating at 130 C in DMSO to afford the tertiary amine (V). The reaction of (V) with TBAF and Ts-F in THF provides the 4-fluorobutyl derivative (VI). Finally, the hydrogenation of the allylic double bond of (VI) with H2 over Pd/C in ethanol gives the target LWH-154.
- 〖参考〗Gold, P.W.; Contoreggi, C.; Webster, E.L.; Eckelman, W.C.; Rice, K.C.; Hsin, L.-W.; Chrousos, G.P.; Synthesis of [3H] (4-fluorobutyl)propyl[2,5,6-trimethyl-7-(2,4,6-trimethylphenyl)pyrrolo[2,3-d]pyrimidin-4-yl]amine: A potent radioligand for corticotropin物〗/span>Osutidine, T-593/li>
??缙b??b??ogra?]???`?_???`-1,3-propane
- 〖目标产物〗LWH-154
- 〖合成路线〗

- 〖合成方法〗The reaction of 4-chloro-1-butanol (I) with allylamine (II) by means of K2CO3 in refluxing THF gives N-allyl-N-(4-hydroxybutyl)amine (III), which is condensed with the pyrrolo[2,3-d]pyrimidine derivative (IV) by heating at 130 C in DMSO to afford the tertiary amine (V). The reaction of (V) with TBAF and Ts-F in THF provides the 4-fluorobutyl derivative (VI). Finally, the hydrogenation of the allylic double bond of (VI) with 3H2 over Pd/C in ethanol gives the target tritium-labeled LWH-154.
- 〖参考〗Gold, P.W.; Contoreggi, C.; Webster, E.L.; Eckelman, W.C.; Rice, K.C.; Hsin, L.-W.; Chrousos, G.P.; Synthesis of [3H] (4-fluorobutyl)propyl[2,5,6-trimethyl-7-(2,4,6-trimethylphenyl)pyrrolo[2,3-d]pyrimidin-4-yl]amine: A potent radioligand for corticotropin物〗/span>Osutidine, T-593/li>
??缙b??b??ogra?]???`?_???`-1,3-propane
- 〖目标产物〗
- 〖合成路线〗

- 〖合成方法〗Racemic allylglycine (I) was protected as the N-Boc derivative (II) and then converted to the Weinreb amide (III) by treatment with N,O-dimethylhydroxylamine and BOP. Reduction of (III) with LiAlH4 afforded aldehyde (IV), which, upon treatment with acetone cyanohydrin (V), furnished the corresponding hydroxy nitrile (VI). Acid hydrolysis of the nitrile (VI) with concomitant Boc group deprotection provided hydroxy acid (VII), which was further reprotected as the N-Boc derivative (VIII). Coupling of hydroxy acid (VIII) with allylamine (IX) yielded amide (X). After Boc group cleavage with HCl in dioxan, the resulting amine (XI) was coupled with pentapeptide (XII) (obtained using a peptide synthesizer under standard conditions), to give the alpha-hydroxyamide (XIII).
- 〖参考〗Hu, Z.; Han, W.; Jiang, X.; Decicco, C.P.; alpha-Ketoamides, alpha-ketoesters and alpha-diketones as HCV NS3 protease inhibitors. Bioorg Med Chem Lett 2000, 10, 8, 711
- 〖目标产物〗
- 〖合成路线〗

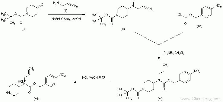
- 〖合成方法〗Reductive amination of N-Boc-4-piperidone (I) with allylamine (II) in the presence of sodium triacetoxyborohydride afforded aminopiperidine (III), which was acylated with 4-nitrobenzyl chloroformate (IV) to yield carbamate (V). Removal of the Boc group of (V) by means of a methanolic solution of HCl, prepared from acetyl chloride and MeOH, provided piperidine (VI).
- 〖参考〗Finke, P.E.; Mills, S.G.; Caldwell, C.G.; MacCoss, M.; Wang, L.; Kothandaraman, S.; Kim, D.; Oates, B. (Merck & Co., Inc.); Cyclic amine modulators of chemokine receptor activity. EP 1052992; US 6140349; WO 9938514
- 〖目标产物〗
- 〖合成路线〗

- 〖合成方法〗Reductive amination of N-Boc-4-piperidone (I) with allyl amine (II) in the presence of sodium triacetoxyborohydride gave aminopiperidine (III), which was condensed with 4-nitrobenzyl chloroformate (IV) to afford carbamate (V). The Boc group of (V) was then cleaved by treatment with methanolic HCl to produce intermediate piperidine (VI).
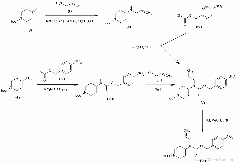
Alternatively, the condensation of 1-Boc-piperidine-4-amine (VII) with chloroformate (IV) gives carbamate (VIII), which is allylated with allyl chloride (IX) and NaH in THF, yielding the already reported carbamate (V).
- 〖参考〗Chen, P.; Dorn, C.P. Jr.; Caldwell, C.G.; et al.; Synthesis and evaluation of CCR5 antagonists having potent in vitro antiviral activity. 220th ACS Natl Meet (Aug 20 2000, Washington DC) 2000, Abst MEDI 85
- 〖目标产物〗
- 〖合成路线〗

- 〖合成方法〗Reductive amination of N-Boc-4-piperidone (I) with allyl amine (II) in the presence of sodium triacetoxyborohydride gave aminopiperidine (III), which was condensed with 4-nitrobenzyl chloroformate (IV) to afford carbamate (V). The Boc group of (V) was then cleaved by treatment with methanolic HCl to produce intermediate piperidine (VI).
Alternatively, the condensation of 1-Boc-piperidine-4-amine (VII) with chloroformate (IV) gives carbamate (VIII), which is allylated with allyl chloride (IX) and NaH in THF, yielding the already reported carbamate (V).
- 〖参考〗Finke, P.E.; Mills, S.G.; Caldwell, C.G.; MacCoss, M.; Wang, L.; Kothandaraman, S.; Kim, D.; Oates, B. (Merck & Co., Inc.); Cyclic amine modulators of chemokine receptor activity. EP 1052992; US 6140349; WO 9938514
- 〖目标产物〗RS-135853
- 〖合成路线〗

- 〖合成方法〗The hydrolysis of Zofimarin (I) with NaOMe in methanol gives the sodium salt of the deacylated compound (II), which is treated with Pmb-Cl in DMF to yield the p-methoxybenzyl ester (III). The protection of the formyl group of (III) by means of ethyleneglycol, trimethyl orthoformate and TsOH affords the ethylene ketal (IV), which is oxidized at the vicinal diol group by means of NaIO4 in methanol/water to provide the dialdehyde (V). The reductocyclization of (V) with allylamine (VI) by means of NaBH3CN and AcOH in acetonitrile leads to the perhydro oxazepine derivative (VII), which is deallylated by means of Rh(PPh3)3Cl in aqueous ethanol to give compound (VIII). The alkylation of (VIII) with 2-methylallyl bromide (IX) by means of NaHCO3 and NaI in ethanol yields the protected precursor (X), which is finally treated with TFA in dichloromethane to provide the target zofimarin derivative.
- 〖参考〗Fukuoka, T.; Kamai, Y.; Kakuta, M.; Kaneko, S.; Arai, M.; Uchida, T.; Konosu, T.; Kuwahara, S.; Design, synthesis, and in vitro activity of RS-135853, a novel zofimarin-related antifungal agent. 42nd Intersci Conf Antimicrob Agents Chemother (Sept 27 2002物〗/span>Osutidine, T-593/li>
- 〖目标产物〗RS-135853
- 〖合成路线〗

- 〖合成方法〗The hydrolysis of Zofimarin (I) with NaOMe in methanol gives the sodium salt of the deacylated compound (II), which is treated with Pmb-Cl in DMF to yield the p-methoxybenzyl ester (III). The protection of the formyl group of (III) by means of ethyleneglycol, trimethyl orthoformate and TsOH affords the ethylene ketal (IV), which is oxidized at the vicinal diol group by means of NaIO4 in methanol/water to provide the dialdehyde (V). The reductocyclization of (V) with allylamine (VI) by means of NaBH3CN and AcOH in acetonitrile leads to the perhydro oxazepine derivative (VII), which is deallylated by means of Rh(PPh3)3Cl in aqueous ethanol to give compound (VIII). The alkylation of (VIII) with 2-methylallyl bromide (IX) by means of NaHCO3 and NaI in ethanol yields the protected precursor (X), which is finally treated with TFA in dichloromethane to provide the target zofimarin derivative.
- 〖参考〗Kaneko, S.; Uchida, T.; Arai, M.; Kounosu, T. (Sankyo Co., Ltd.); Zofimarin derivs. having an oxazepan ring. JP 2002161086; WO 0223541
- 〖目标产物〗Dysinosin A
- 〖合成路线〗

- 〖合成方法〗Synthesis of the 3-pyrroline intermediate (XXVI): The reaction of 4-hydroxy-2-methylenebutyric acid methyl ester (XIV) with Tbdps-Cl and imidazole in DMF gives the silyl ether (XV), which is reduced with DIBAL in dichloromethane to yield the butanol derivative (XVI). The reaction of (XVI) with MsCl and TEA affords the corresponding mesylate (XVII), which is condensed with allylamine (XVIII) to provide the secondary amine (XIX). The protection of the NH group of (XIX) by reaction with Boc2O and TEA gives the carbamate (XX), which is submitted to a ring closing metathesis reaction using a Grubbs Ru catalyst to yield the 3-pyrroline derivative (XXI). The cleavage of the silyl ether group of (XXI) by means of TBAF in THF affords the pyrroline ethanol derivative (XXII), which is treated with PPh3, DEAD and (PhO)2P(O)N3 in THF to provide the azido derivative (XXIII). The deprotection of the NH group of (XXIII) by means of TFA in dichloromethane gives the 3-(2-azidoethyl)-3-pyrroline (XXIV), which is treated with Goodman's reagent to yield the protected amidino derivative (XXV). Finally, the azido group of (XXV) is reduced by means of PPh3, water and AcOH to afford the desired 3-pyrroline-1-carboxamidine (XXVI).
- 〖参考〗Hanessian, S.; Margarita, R.; Hall, A.; Johnstone, S.; Tremblay, M.; Parlanti, L.; Total synthesis and structural confirmation of the marine natural product Dysinosin A: A novel inhibitor of thrombin and Factor VIIa. J Am Chem Soc 2002, 124, 45, 13342
本文导航:
-
(1)
107-11-9,C3H7N,57.0959,Allylamine; 2-Propen-1-amine