当前位置:
首页 »
资料 »
医药中间体库 » 22162-51-2,C12H10N2O3,230.2251,1-(2-nitrobenzyl)-1H-pyrrole-
22162-51-2,C12H10N2O3,230.2251,1-(2-nitrobenzyl)-1H-pyrrole-

更新日期:2018-11-23 浏览次数:
302
摘 要:22162-51-2,C12H10N2O3,230.2251,1-(2-nitrobenzyl)-1H-pyrrole-2-carbaldehyde; N-(2-Nitrobenzyl)pyrrole-2-carboxaldehyde
- 【化学名】1-(2-nitrobenzyl)-1H-pyrrole-2-carbaldehyde; N-(2-Nitrobenzyl)pyrrole-2-carboxaldehyde
- 【CAS登记号】22162-51-2
- 【结构式】

- 【分子式】C12H10N2O3
- 【分子量】230.2251
- 【来源】D&O Chemicals, Inc.; Lancaster Synthesis Inc.; Loba Feinchemie AG
- 【合成情况】
- 〖目标产物〗Lixivaptan, WAY-VPA-985, VPA-985
- 〖合成路线〗

- 〖合成方法〗The reductocyclization of 1-(2-nitrobenzyl)pyrrole-2-carbaldehyde (I) gives the pyrrolobenzodiazepine (II), which is acylated with 2-chloro-4-nitrobenzoyl chloride (III) giving the expected 10-benzoyl derivative (IV). The reduction of the nitro group of (IV) with H2 over Pd/C or with SnCl2 yields the corresponding 4-amino derivative (V), which is finally acylated with 5-fluoro-2-methylbenzoyl chloride.
- 〖参考〗Albright, J.D.; Delos Santos, E.G.; Reich, M.F.; et al.; 5-Fluoro-2-methyl-N-[4-(5H-pyrrolo[2,1-c][1,4]benzodiazepin-10(11H)-ylcarbonyl)-3-chlorophenyl]benzamide (VPA-985): An orally active arginine vasopressin antagonist with selectivity for V2 receptorsli>span>【CAS登记号】/span>/li>
- 〖目标产物〗Lixivaptan, WAY-VPA-985, VPA-985
- 〖合成路线〗

- 〖合成方法〗The reductocyclization of 1-(2-nitrobenzyl)pyrrole-2-carbaldehyde (I) gives the pyrrolobenzodiazepine (II), which is acylated with 2-chloro-4-nitrobenzoyl chloride (III) giving the expected 10-benzoyl derivative (IV). The reduction of the nitro group of (IV) with H2 over Pd/C or with SnCl2 yields the corresponding 4-amino derivative (V), which is finally acylated with 5-fluoro-2-methylbenzoyl chloride.
- 〖参考〗Albright, J.D.; Reich, M.F.; Sum, F.-W.; Delos Santos, E.G. (American Cyanamid Co.); Tricyclic diazepine vasopressin antagonists and oxytocin antagonists. CA 2128956; EP 0636625; JP 1995157486; US 5516774
- 〖目标产物〗Lixivaptan, WAY-VPA-985, VPA-985
- 〖合成路线〗

- 〖合成方法〗The reductocyclization of 1-(2-nitrobenzyl)pyrrole-2-carbaldehyde (I) gives the pyrrolobenzodiazepine (II), which is acylated with 2-chloro-4-nitrobenzoyl chloride (III) giving the expected 10-benzoyl derivative (IV). The reduction of the nitro group of (IV) with H2 over Pd/C or with SnCl2 yields the corresponding 4-amino derivative (V), which is finally acylated with 5-fluoro-2-methylbenzoyl chloride.
- 〖参考〗Reich, M.F.; Delos Santos, E.G.; Sum, F.-W.; Albright, J.D. (American Cyanamid Co.); Tricyclic diazepine vasopressin antagonists and oxytocin antagonists. US 5733905
- 〖目标产物〗Lixivaptan, WAY-VPA-985, VPA-985
- 〖合成路线〗

- 〖合成方法〗The reductocyclization of 1-(2-nitrobenzyl)pyrrole-2-carbaldehyde (I) gives the pyrrolobenzodiazepine (II), which is acylated with 2-chloro-4-nitrobenzoyl chloride (III) giving the expected 10-benzoyl derivative (IV). The reduction of the nitro group of (IV) with H2 over Pd/C or with SnCl2 yields the corresponding 4-amino derivative (V), which is finally acylated with 5-fluoro-2-methylbenzoyl chloride.
- 〖参考〗Albright, J.D.; Sum, F.-W.; Delos Santos, E.G.; Reich, M.F. (American Cyanamid Co.); Tricyclic diazepine vasopressin antagonists and oxytocin antagonists. US 5736540
- 〖目标产物〗Lixivaptan, WAY-VPA-985, VPA-985
- 〖合成路线〗

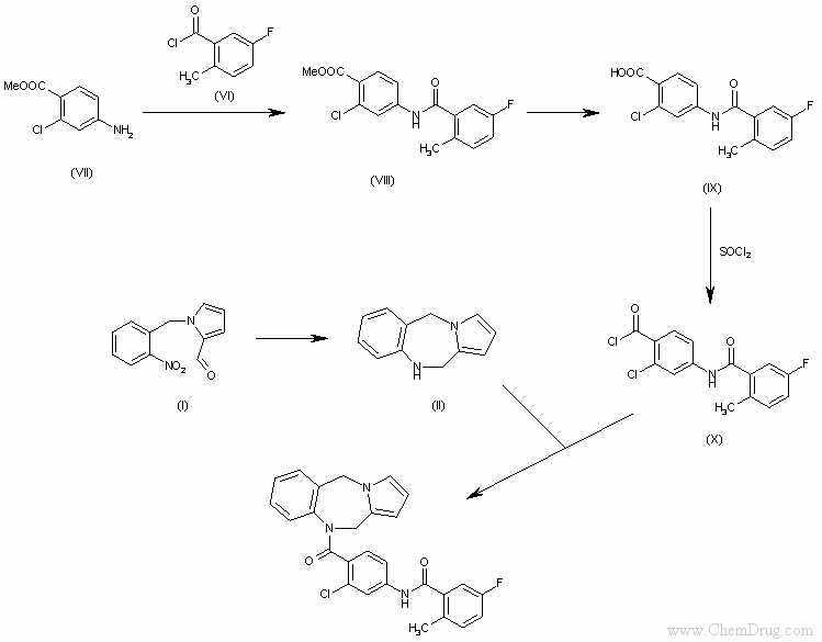
- 〖合成方法〗The acylation of 4-amino-2-chlorobenzoic acid methyl ester (VII) with 5-fluoro-2-methylbenzoyl chloride (VI) gives the corresponding amide (VIII), which is hydrolyzed at the ester group yielding the corresponding free acid (IX). The reaction of (IX) with SOCl2 affords the acyl chloride (X), which is finally condensed with the pyrrolobenzodiazepine (II) (obtained by the reductocyclization of 1-(2-nitrobenzyl)pyrrole-2-carbaldehyde (I)) to provide the target compound.
- 〖参考〗Albright, J.D.; Delos Santos, E.G.; Reich, M.F.; et al.; 5-Fluoro-2-methyl-N-[4-(5H-pyrrolo[2,1-c][1,4]benzodiazepin-10(11H)-ylcarbonyl)-3-chlorophenyl]benzamide (VPA-985): An orally active arginine vasopressin antagonist with selectivity for V2 receptorsli>span>【CAS登记号】/span>/li>
- 〖目标产物〗Lixivaptan, WAY-VPA-985, VPA-985
- 〖合成路线〗

- 〖合成方法〗The acylation of 4-amino-2-chlorobenzoic acid methyl ester (VII) with 5-fluoro-2-methylbenzoyl chloride (VI) gives the corresponding amide (VIII), which is hydrolyzed at the ester group yielding the corresponding free acid (IX). The reaction of (IX) with SOCl2 affords the acyl chloride (X), which is finally condensed with the pyrrolobenzodiazepine (II) (obtained by the reductocyclization of 1-(2-nitrobenzyl)pyrrole-2-carbaldehyde (I)) to provide the target compound.
- 〖参考〗Albright, J.D.; Reich, M.F.; Sum, F.-W.; Delos Santos, E.G. (American Cyanamid Co.); Tricyclic diazepine vasopressin antagonists and oxytocin antagonists. CA 2128956; EP 0636625; JP 1995157486; US 5516774
- 〖目标产物〗Lixivaptan, WAY-VPA-985, VPA-985
- 〖合成路线〗

- 〖合成方法〗The acylation of 4-amino-2-chlorobenzoic acid methyl ester (VII) with 5-fluoro-2-methylbenzoyl chloride (VI) gives the corresponding amide (VIII), which is hydrolyzed at the ester group yielding the corresponding free acid (IX). The reaction of (IX) with SOCl2 affords the acyl chloride (X), which is finally condensed with the pyrrolobenzodiazepine (II) (obtained by the reductocyclization of 1-(2-nitrobenzyl)pyrrole-2-carbaldehyde (I)) to provide the target compound.
- 〖参考〗Reich, M.F.; Delos Santos, E.G.; Sum, F.-W.; Albright, J.D. (American Cyanamid Co.); Tricyclic diazepine vasopressin antagonists and oxytocin antagonists. US 5733905
- 〖目标产物〗Lixivaptan, WAY-VPA-985, VPA-985
- 〖合成路线〗

- 〖合成方法〗The acylation of 4-amino-2-chlorobenzoic acid methyl ester (VII) with 5-fluoro-2-methylbenzoyl chloride (VI) gives the corresponding amide (VIII), which is hydrolyzed at the ester group yielding the corresponding free acid (IX). The reaction of (IX) with SOCl2 affords the acyl chloride (X), which is finally condensed with the pyrrolobenzodiazepine (II) (obtained by the reductocyclization of 1-(2-nitrobenzyl)pyrrole-2-carbaldehyde (I)) to provide the target compound.
- 〖参考〗Albright, J.D.; Sum, F.-W.; Delos Santos, E.G.; Reich, M.F. (American Cyanamid Co.); Tricyclic diazepine vasopressin antagonists and oxytocin antagonists. US 5736540
- 〖目标产物〗CL-385004
- 〖合成路线〗

- 〖合成方法〗Alkylation of pyrrole-2-carboxaldehyde (II) with 2-nitrobenzyl chloride (I) in the presence of NaH afforded the N-benzyl pyrrole (III). Subsequent reductive ring closure of (III) by hydrogenation over Pd/C produced the pyrrolobenzodiazepine (IV). Acid-catalyzed esterification of 6-aminonicotinic acid (V) with either methanol or ethanol provided the corresponding esters (VIa) or (VIb). Further coupling of (VIa) or (VIb) with two equivalents of 5-fluoro-2-methylbenzoyl chloride (VII) gave rise to imide (VIII). Simultaneous hydrolysis of ester function and one benzoyl group of (VIIIa-b) with NaOH furnished acid (IX), which was then converted to the corresponding acid chloride (X) employing either thionyl chloride or oxalyl chloride. Finally, coupling of acid chloride (X) with amine (IV) in the presence of Et3N yielded the target amide.
- 〖参考〗Albright, J.D.; Venkatesan, A.M.; Dusza, J.P.; Sum, F.W. (American Cyanamid Co.); Tricyclic benzazepine vasopressin antagonists. US 5700796; WO 9749708
- 〖目标产物〗CL-385004
- 〖合成路线〗

- 〖合成方法〗Alkylation of pyrrole-2-carboxaldehyde (II) with 2-nitrobenzyl chloride (I) in the presence of NaH afforded the N-benzyl pyrrole (III). Subsequent reductive ring closure of (III) by hydrogenation over Pd/C produced the pyrrolobenzodiazepine (IV). Acid-catalyzed esterification of 6-aminonicotinic acid (V) with either methanol or ethanol provided the corresponding esters (VIa) or (VIb). Further coupling of (VIa) or (VIb) with two equivalents of 5-fluoro-2-methylbenzoyl chloride (VII) gave rise to imide (VIII). Simultaneous hydrolysis of ester function and one benzoyl group of (VIIIa-b) with NaOH furnished acid (IX), which was then converted to the corresponding acid chloride (X) employing either thionyl chloride or oxalyl chloride. Finally, coupling of acid chloride (X) with amine (IV) in the presence of Et3N yielded the target amide.
- 〖参考〗Burgoyne, D.L.; Shen, Y.; Langlands, J.M.; Rogers, C.; Chau, J.H.-L.; Piers, E.; Salari, H. (InflaZyme Pharmaceuticals Ltd.); 6,7-Oxygenated steroids and uses related thereto. US 6046185; WO 9802450
- 〖目标产物〗WAY-140288
- 〖合成路线〗

- 〖合成方法〗Title compound has been obtained by two synthetic procedures:
1) Pyrrole-2-carbaldehyde (I) was alkylated with 2-nitrobenzyl bromide (II) in the presence of NaH to afford the N-nitrobenzyl pyrrole (III). Then, reductive cyclization over Pd/C produced the pyrrolobenzodiazepine (IV). Subsequent condensation of (IV) with acid chloride (VI), prepared from 3-methoxy-4-nitrobenzoic acid (V) and oxalyl chloride, gave benzamide (VII). The nitro group of (VII) was then reduced by catalytic hydrogenation over Pd/C, and the resulting amine (VIII) was further acylated with biphenyl-2-carbonyl chloride (IX) in the presence of diisopropyl ethylamine (DIEA) to yield diamide (X). Finally, the Mannich reaction with tetramethyl diaminomethane and paraformaldehyde introduced the (dimethylamino)methyl group into the pyrrole nucleus.
2) In a related procedure, 3-methoxy-4-nitrobenzoic acid (V) was esterified with MeOH in the presence of SOCl2. The nitrobenzoic ester (XI) was reduced to aminoester (XII) by hydrogenation over Pd/C, and then acylated with biphenyl-2-carbonyl chloride (IX) and DIEA to produce amide (XIII). Subsequent saponification of the ester function of (XIII), followed by treatment with oxalyl chloride furnished acid chloride (XIV), which was then condensed with the tricyclic intermediate (IV) to yield diamide (X). Finally, the (dimethylamino)methyl group was introduced, as before, by means of a Mannich reaction.
- 〖参考〗Ashwell, M.A.; et al.; The design, synthesis and physicochemical properties of a novel series of human vasopressin-V2 receptor antagonists. 216th ACS Natl Meet (Aug. 23-27, Boston) 1998, Abst MEDI 061
- 〖目标产物〗WAY-140288
- 〖合成路线〗

- 〖合成方法〗Title compound has been obtained by two synthetic procedures:
1) Pyrrole-2-carbaldehyde (I) was alkylated with 2-nitrobenzyl bromide (II) in the presence of NaH to afford the N-nitrobenzyl pyrrole (III). Then, reductive cyclization over Pd/C produced the pyrrolobenzodiazepine (IV). Subsequent condensation of (IV) with acid chloride (VI), prepared from 3-methoxy-4-nitrobenzoic acid (V) and oxalyl chloride, gave benzamide (VII). The nitro group of (VII) was then reduced by catalytic hydrogenation over Pd/C, and the resulting amine (VIII) was further acylated with biphenyl-2-carbonyl chloride (IX) in the presence of diisopropyl ethylamine (DIEA) to yield diamide (X). Finally, the Mannich reaction with tetramethyl diaminomethane and paraformaldehyde introduced the (dimethylamino)methyl group into the pyrrole nucleus.
2) In a related procedure, 3-methoxy-4-nitrobenzoic acid (V) was esterified with MeOH in the presence of SOCl2. The nitrobenzoic ester (XI) was reduced to aminoester (XII) by hydrogenation over Pd/C, and then acylated with biphenyl-2-carbonyl chloride (IX) and DIEA to produce amide (XIII). Subsequent saponification of the ester function of (XIII), followed by treatment with oxalyl chloride furnished acid chloride (XIV), which was then condensed with the tricyclic intermediate (IV) to yield diamide (X). Finally, the (dimethylamino)methyl group was introduced, as before, by means of a Mannich reaction.
- 〖参考〗Bagli, J.F.; Ashwell, M.A.; Caggiano, T.J.; et al.; The design, synthesis and physical chemical properties of novel human vasopressin V2-receptor antagonists optimized for parenteral delivery. Bioorg Med Chem Lett 2000, 10, 8, 783
- 〖目标产物〗WAY-140288
- 〖合成路线〗

- 〖合成方法〗Title compound has been obtained by two synthetic procedures:
1) Pyrrole-2-carbaldehyde (I) was alkylated with 2-nitrobenzyl bromide (II) in the presence of NaH to afford the N-nitrobenzyl pyrrole (III). Then, reductive cyclization over Pd/C produced the pyrrolobenzodiazepine (IV). Subsequent condensation of (IV) with acid chloride (VI), prepared from 3-methoxy-4-nitrobenzoic acid (V) and oxalyl chloride, gave benzamide (VII). The nitro group of (VII) was then reduced by catalytic hydrogenation over Pd/C, and the resulting amine (VIII) was further acylated with biphenyl-2-carbonyl chloride (IX) in the presence of diisopropyl ethylamine (DIEA) to yield diamide (X). Finally, the Mannich reaction with tetramethyl diaminomethane and paraformaldehyde introduced the (dimethylamino)methyl group into the pyrrole nucleus.
2) In a related procedure, 3-methoxy-4-nitrobenzoic acid (V) was esterified with MeOH in the presence of SOCl2. The nitrobenzoic ester (XI) was reduced to aminoester (XII) by hydrogenation over Pd/C, and then acylated with biphenyl-2-carbonyl chloride (IX) and DIEA to produce amide (XIII). Subsequent saponification of the ester function of (XIII), followed by treatment with oxalyl chloride furnished acid chloride (XIV), which was then condensed with the tricyclic intermediate (IV) to yield diamide (X). Finally, the (dimethylamino)methyl group was introduced, as before, by means of a Mannich reaction.
- 〖参考〗Albright, J.D.; Venkatesan, A.M.; Dusza, J.P.; Sum, F.-W. (American Cyanamid Co.); Tricyclic benzazepine vasopressin antagonists. JP 2000510154; US 5753648; WO 9749707
- 〖目标产物〗WAY-140288
- 〖合成路线〗

- 〖合成方法〗Title compound has been obtained by two synthetic procedures:
1) Pyrrole-2-carbaldehyde (I) was alkylated with 2-nitrobenzyl bromide (II) in the presence of NaH to afford the N-nitrobenzyl pyrrole (III). Then, reductive cyclization over Pd/C produced the pyrrolobenzodiazepine (IV). Subsequent condensation of (IV) with acid chloride (VI), prepared from 3-methoxy-4-nitrobenzoic acid (V) and oxalyl chloride, gave benzamide (VII). The nitro group of (VII) was then reduced by catalytic hydrogenation over Pd/C, and the resulting amine (VIII) was further acylated with biphenyl-2-carbonyl chloride (IX) in the presence of diisopropyl ethylamine (DIEA) to yield diamide (X). Finally, the Mannich reaction with tetramethyl diaminomethane and paraformaldehyde introduced the (dimethylamino)methyl group into the pyrrole nucleus.
2) In a related procedure, 3-methoxy-4-nitrobenzoic acid (V) was esterified with MeOH in the presence of SOCl2. The nitrobenzoic ester (XI) was reduced to aminoester (XII) by hydrogenation over Pd/C, and then acylated with biphenyl-2-carbonyl chloride (IX) and DIEA to produce amide (XIII). Subsequent saponification of the ester function of (XIII), followed by treatment with oxalyl chloride furnished acid chloride (XIV), which was then condensed with the tricyclic intermediate (IV) to yield diamide (X). Finally, the (dimethylamino)methyl group was introduced, as before, by means of a Mannich reaction.
- 〖参考〗Albright, J.D.; Venkatesan, A.M.; Dusza, J.P.; Sum, F.W. (American Cyanamid Co.); Tricyclic benzazepine vasopressin antagonists. US 5700796; WO 9749708
- 〖目标产物〗WAY-VNA-932, VNA-932
- 〖合成路线〗

- 〖合成方法〗The pyrrolobenzodiazepine (I) is prepared in two steps. The sodium salt of pyrrole-2-carboxaldehyde (II) is prepared in DMF using NaH. Alkylation with 2-nitrobenzyl bromide (III) proceeds in excellent yield. Reduction with hydrogen over Raney nickel effects reduction of the nitro group to the amine which cyclizes in situ to the seven-membered imine that is reduced to the pyrrolobenzodiazepine in excellent yield in one pot.
- 〖参考〗Albright, J.D.; Delos Santos, E.G.; Reich, M.F.; et al.; 5-Fluoro-2-methyl-N-[4-(5H-pyrrolo[2,1-c][1,4]benzodiazepin-10(11H)-ylcarbonyl)-3-chlorophenyl]benzamide (VPA-985): An orally active arginine vasopressin antagonist with selectivity for V2 receptorsli>span>【CAS登记号】/span>/li>
- 〖目标产物〗WAY-VNA-932, VNA-932
- 〖合成路线〗

- 〖合成方法〗The pyrrolobenzodiazepine (I) is prepared in two steps. The sodium salt of pyrrole-2-carboxaldehyde (II) is prepared in DMF using NaH. Alkylation with 2-nitrobenzyl bromide (III) proceeds in excellent yield. Reduction with hydrogen over Raney nickel effects reduction of the nitro group to the amine which cyclizes in situ to the seven-membered imine that is reduced to the pyrrolobenzodiazepine in excellent yield in one pot.
- 〖参考〗Caggiano, T.J.; WAY-VNA-932. Drugs Fut 2002, 27, 3, 248
- 〖目标产物〗
- 〖合成路线〗

- 〖合成方法〗The intermediate pyrrolobenzodiazepine (IV) was prepared by alkylation of pyrrole-2-carboxaldehyde (I) with 2-nitrobenzyl bromide (II), followed by reductive cyclization of the resulting nitro aldehyde (III).
- 〖参考〗Reich, M.F.; Delos Santos, E.G.; Albright, J.D.; Dusza, J.P.; Sum, F.-W.; et al.; 5-Fluoro-2-methyl-N-[4-(5H-pyrrolo[2,1-c]-[1,4]benzodiazepin-10(11H)-ylcarbonyl)-3-chlorophenyl]benzamide (VPA-985): An orally active arginine antagonist with selectivity foli>span>【CAS登记号】/span>/li>
??l耀?k See Full
- 〖目标产物〗
- 〖合成路线〗

- 〖合成方法〗The intermediate pyrrolobenzodiazepine (IV) was prepared by alkylation of pyrrole-2-carboxaldehyde (I) with 2-nitrobenzyl bromide (II), followed by reductive cyclization of the resulting nitro aldehyde (III).
- 〖参考〗Albright, J.D.; Venkatesan, A.M.; Dusza, J.P.; Sum, F.-W. (American Cyanamid Co.); Tricyclic benzazepine vasopressin antagonists. JP 2000510154; US 5753648; WO 9749707
- 〖目标产物〗
- 〖合成路线〗

- 〖合成方法〗The intermediate pyrrolobenzodiazepine (IV) was prepared by alkylation of pyrrole-2-carboxaldehyde (I) with 2-nitrobenzyl bromide (II), followed by reductive cyclization of the resulting nitro aldehyde (III).
- 〖参考〗Albright, J.D.; Venkatesan, A.M.; Dusza, J.P.; Sum, F.W. (American Cyanamid Co.); Tricyclic benzazepine vasopressin antagonists. US 5700796; WO 9749708
- 〖目标产物〗
- 〖合成路线〗

- 〖合成方法〗The intermediate pyrrolobenzodiazepine (IV) was prepared by alkylation of pyrrole-2-carboxaldehyde (I) with 2-nitrobenzyl bromide (II), followed by reductive cyclization of the resulting nitro aldehyde (III).
- 〖参考〗Caggiano, T.J.; Bagli, J.F.; Trybulski, E.J.; Molinari, A.J.; Ashwell, M.A. (American Home Products Corp.); 3-Carboxamide derivs. of 5H-pyrrolo[1,2-c][1,4]-benzodiazepines. US 5880122
本文导航:
-
(1)
22162-51-2,C12H10N2O3,230.2251,1-(2-nitrobenzyl)-1H-pyrrole-