当前位置:
首页 »
资料 »
医药中间体库 » ,C18H21NO5,331.3718,4-methyl 3-(phenylmethyl) octahydro-3H-o
,C18H21NO5,331.3718,4-methyl 3-(phenylmethyl) octahydro-3H-o

更新日期:2018-11-23 浏览次数:
134
摘 要:,C18H21NO5,331.3718,4-methyl 3-(phenylmethyl) octahydro-3H-oxireno[2,3-f]indole-3,4-dicarboxylate
- 【化学名】4-methyl 3-(phenylmethyl) octahydro-3H-oxireno[2,3-f]indole-3,4-dicarboxylate
- 【CAS登记号】
- 【结构式】

- 【分子式】C18H21NO5
- 【分子量】331.3718
- 【来源】
- 【合成情况】
- 〖目标产物〗Dysinosin A
- 〖合成路线〗

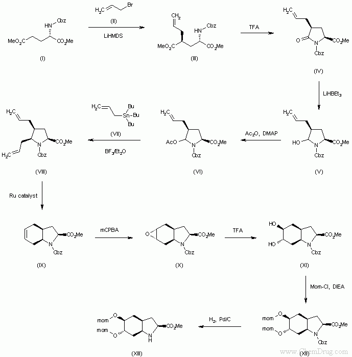
- 〖合成方法〗Synthesis of the perhydroindole intermediate (XIII): The alkylation of the N-protected glutamate (I) with allyl bromide (II) by means of LiHMDS in THF gives the protected chiral allyl glutamate (III) (1), which is cyclized by means of TFA in dichloromethane to yield the pyroglutamate (IV). The reduction of (IV) with LiHBEt3 in THF affords the hydroxy compound (V), which is treated with Ac2O and DMAP in dichloromethane to provide the expected hemiaminal derivative (VI). The reaction of (VI) with allyl tributylstannane (VII) by means of BF3/Et2O in toluene gives the diallyl pyrrolidine (VIII), which is submitted to a ring closure by olefin metathesis using a Grubbs Ru catalyst in dichloromethane to yield the hexahydroindole derivative (IX). The reaction of (IX) with mCPBA in dichloromethane affords the epoxide (X), which is hydrolyzed with TFA to yield the dihydroxy compound (XI). The reaction of (XI) with Mom-Cl and DIEA in dichloromethane provides the bis mom ether (XII), which is treated with H2 over Pd/C in methanol to yield the desired perhydroindole intermediate (XIII) (2).
- 〖参考〗Hanessian, S.; Margarita, R.; Hall, A.; Johnstone, S.; Tremblay, M.; Parlanti, L.; Total synthesis and structural confirmation of the marine natural product Dysinosin A: A novel inhibitor of thrombin and Factor VIIa. J Am Chem Soc 2002, 124, 45, 13342
- 〖目标产物〗Dysinosin A
- 〖合成路线〗

- 〖合成方法〗Synthesis of the perhydroindole intermediate (XIII): The alkylation of the N-protected glutamate (I) with allyl bromide (II) by means of LiHMDS in THF gives the protected chiral allyl glutamate (III) (1), which is cyclized by means of TFA in dichloromethane to yield the pyroglutamate (IV). The reduction of (IV) with LiHBEt3 in THF affords the hydroxy compound (V), which is treated with Ac2O and DMAP in dichloromethane to provide the expected hemiaminal derivative (VI). The reaction of (VI) with allyl tributylstannane (VII) by means of BF3/Et2O in toluene gives the diallyl pyrrolidine (VIII), which is submitted to a ring closure by olefin metathesis using a Grubbs Ru catalyst in dichloromethane to yield the hexahydroindole derivative (IX). The reaction of (IX) with mCPBA in dichloromethane affords the epoxide (X), which is hydrolyzed with TFA to yield the dihydroxy compound (XI). The reaction of (XI) with Mom-Cl and DIEA in dichloromethane provides the bis mom ether (XII), which is treated with H2 over Pd/C in methanol to yield the desired perhydroindole intermediate (XIII) (2).
- 〖参考〗Hanessian, S.; Margarita, R.; 1,3-Asymmetric induction in dianionic allylation reactions of amino acid derivatives-synthesis of functionally useful enantiopure glutamates, pipecolates and pyroglutamates. Tetrahedron Lett 1998, 39, 33, 5887
本文导航:
-
(1)
,C18H21NO5,331.3718,4-methyl 3-(phenylmethyl) octahydro-3H-o