当前位置:
首页 »
资料 »
医药中间体库 » ,C7H10N2,122.1712,(5-methyl-2-pyridinyl)methanamine; (5-meth
,C7H10N2,122.1712,(5-methyl-2-pyridinyl)methanamine; (5-meth

更新日期:2018-11-23 浏览次数:
310
摘 要:,C7H10N2,122.1712,(5-methyl-2-pyridinyl)methanamine; (5-methyl-2-pyridinyl)methylamine
- 【化学名】(5-methyl-2-pyridinyl)methanamine; (5-methyl-2-pyridinyl)methylamine
- 【CAS登记号】
- 【结构式】

- 【分子式】C7H10N2
- 【分子量】122.1712
- 【来源】
- 【合成情况】
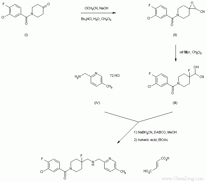
- 〖目标产物〗F-13640
- 〖合成路线〗

- 〖合成方法〗In an alternative, shorter route, 1-(3-chloro-4-fluorobenzoyl)-4-piperidinone (I) is subjected to Darzens condensation with chloroacetonitrile in the presence of NaOH and a phase-transfer catalyst to furnish the epoxy nitrile (II). Epoxide opening in (II) with HF-pyridine gives rise to the fluoro hydroxy nitrile (III). This is finally condensed with (5-methylpyridin-2-yl)methylamine (IV) under reductive amination conditions to produce the title compound.
- 〖参考〗Bonnaud, B.; Maurel, J.-L.; Vacher, B.; Ribet, J.-P. (Pierre Fabre Mdicament); Synthesis method and intermediates of pyridin-2-yl-methylamine. WO 0264585
本文导航:
-
(1)
,C7H10N2,122.1712,(5-methyl-2-pyridinyl)methanamine; (5-meth